电子百科

插入衰减(IL) :传输功率 PL 与输入功率 Pin 之比,以 dB 为单位,表示为:

式中丨Γin丨是输入端的反射系数。
波纹:表示相应幅度的最大值与最小值之差,以 dB 为单位。
带宽: 对于带通滤波器, 定义为通带内对应于 3dB 衰减量的上变频与下变频的频率差, 即
阻带抑制:通常以 60dB 作为阻带抑制的设计值。
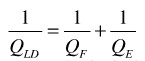
品质因数(Q) :定义为在谐振频率下, 平均储能与一个周期内平均耗能之比。Q 描述了滤波器的频率选择性, 越高, Q 带宽越窄, 谐振曲线越尖锐, 频率选择能力越强。 各种品质因素的关系为:

式中总功耗(对应有载品质因素 QLD )包含滤波器的功耗(对应无载品质因数 QF ) 及外界负载的功耗(对应外部品质因素 QE ) QF 越高,插入损耗 IL 越低。
阶跃阻抗谐振器滤波器:阶跃阻抗结构的传输线谐振器久为人知,但一般用阻抗变 换器。阶跃阻抗谐振器是由两个以上具有不同特性阻抗的传输线组合而成的横向电磁场 或准横向电磁场模式的谐振器。根据此谐振器设计的带通滤波器比一般的发夹线微带滤 波器尺寸小一半以上,此外,通过调节耦合线段与非耦合线段的阻抗比,还可以控制寄 生通带在频率轴上的位置,从而具有较好的抑制谐波性能。另外,此谐振器与已知的平 行耦合线、发夹型、交指型等结构相结合,又能设计出满足不同性能要求的滤波器。在 基于多媒体的全球个人通信系统中将表现出极大的优越性。
有源微波滤波器;蜂窝通信、GPS 和电视广播等微波系统,一般要求使用低价格、 高性能、全集成的商用收发设备。但该频段的集成谐振器的 Q 值较低、损耗较高。利用 有源器件的负阻特性去抵消谐振电路的损耗来改善 Q 值, 是微波有源滤波器的基本原理, Q 值得改善降低了滤波器的通带消耗提高了阻带抑制,使矩形系数得到了明显改善。微 波有源滤波器的目的是不失真地通过所要求的通带信号,同时尽可能大地抑制不需要的 阻带信号。因此,研究和发展微波有源滤波器是实现该频段低损耗和高性能微波集成滤波器的重要手段,具有很大的市场潜力。