电子百科

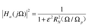
考尔在 1931 年提出了采样有限零点设计的滤波器,能更好地逼近理想的高通滤波 器的特性。由于这种方法在确定零点的位置时与椭圆函数的许多特性有关,所以称之为 椭圆高通滤波器。幅值响应在通带和阻带内都是等波纹的,对于给定的阶数和给定的波 纹要求,椭圆滤波器能获得较其它滤波器为窄的过渡带宽,就这点而言,椭圆滤波器是 最优的,其振幅平方函数为

其中 RN(x)是雅可比(Jacobi) 椭圆函数,ε为与通带衰减有关的参数。
1、椭圆低通滤波器是一种零、极点型滤波器,它在有限频率范围内存在传输零点和极点。
2、椭圆低通滤波器的通带和阻带都具有等波纹特性,因此通带,阻带逼近特性良好。
3、对于同样的性能要求,它比其它两种滤波器所需用的阶数都低,而且它的过渡带比较窄。