0
问答首页 最新问题 热门问题 等待回答标签广场
我要提问

开关电源电路

交流220V转直流600V开关电源电路图

交流220V转直流600V开关电源电路图
提问者:yangachun 地点:- 浏览次数:8183 提问时间:01-31 08:03
我有更好的答案
提 交
1条回答
llqks 02-07 18:29

高电压升压电源电路:交流220V转直流600V开关电源电路


规格:


输入电压= 220Vac±10 % 50/60Hz


输出电压= 0~600Vdc 0.25A


开关频率: 70~100kHz的


设计指南:


DCM的模式下,输出功率为200瓦


输入有效值电流的劣化状况连续电流模式计算公式为:


5.jpg


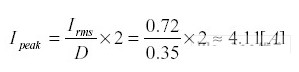
如果最佳操作占空比设定为D = 0.35 ,然后输入峰值电流


6.jpg


因此,电压检测电压等级限制从FAN7554数据是1.5V


交流220V转直流600V开关电源电路图.jpg

撰写答案
提 交
1 / 3
1 / 3
相关开关电源电路
TEA1753T开关电源应用电路
TH-1024S集线器开关电源电路图
24V开关电源原理电路图
谁有开关电源电路原理图
一种UC3842设计的PWM开关电源电路