电子百科

液体变阻器属于无级变阻装置,配置液体电阻一般由工厂电工承担,往往每次计算配置值只为满足某一台电机或设备单独使用需要,因而只要配置后的电阻液能满足该设备启动要求即可。通常按照不同电机的功率,定、转子额定电压和电流就可以对启动电阻值进行简单估算,一般说来启动电阻的数值往往不大,阻值变动范围通常在0.6~1.5Ω内。下面具体介绍两种经常采用的估算方法。
算法一:

式中 R0--每相启动电阻阻值
I2e--转子堵转电流值
U2e--转子开路电压值
I1e--定子额定电流
I1--电机运行时定子电流
Km--启动转矩比,通常取1.1~1.3
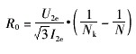
算法二:

式中 Nk--串入启动电阻R0后启动电流与额定电流之比
N--未串启动电阻时启动电流与额定电流之比,N取5~7
U2e、I2e与上同。
两种计算方法结果相近,即使稍有差异,对电机启动性能影响亦不大,而第一种算法中参数确定较直观,因而通常估算启动电阻值时以第一种方法为多。