0
问答首页 最新问题 热门问题 等待回答标签广场
我要提问

电子百科

闭环传感器

闭环传感器

闭环传感器原理

  •   闭环传感器系利用负反馈技术构成的。传感器和伺服放大电路是闭环系统的前向环节;反向传感器是反馈环节。闭环系统原理框图如下:

    闭环系统框图

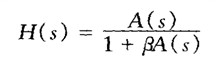
      闭环反馈-测量系统的传递函数为:

         黑体式中  A(s)——前向环节的总传递函数;

                   β一一反馈环节的反馈系数。

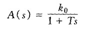
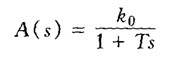
      假定前向环节总的传递函数为

      式中  k0——静态增益;

              T——时间常数。

      则有

     

     

闭环传感器优缺点

  •   闭环传感器优点:具有高精度、高灵敏度、稳定可靠

      闭环传感器缺点:结构比较复杂,工艺要求高,成本昂贵,体积较大。

闭环传感器应用

  •   典型的应用实例:

      航天、航空或航海中使用的超低频、低g加速度计,测量气体或液体压力的力平衡式压力(或差压)传感器,高精度称重用的力平衡式电子天平等。

提问者:uwujjsdfe 地点:- 浏览次数:2191 提问时间:01-10 16:16
我有更好的答案
提 交
撰写答案
提 交
1 / 3
1 / 3
相关电子百科
硅胶板
3D晶体管
双极性晶体管
晶体管时间继电器
导热硅胶垫