电子百科

成像式亮度计工作原理如图 1 所示。

根据图
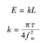
利用光度学和几何光学的原理可以推出:

式中:E — 成像面上的照度;
L — 发光面上的亮度;
t— 光学系统的透射比 ( 透过率) ;
f 一 透镜焦距;
l — 透镜与发光面的距离 ( 称为测量距离) ;
f m — 系统相对孔径数, f m = f l D,其中D为孔径直径。
当 系 统 的 设 计 能 使 f/l到 可 忽 略 不 计 时 ( 在 某 误 差 范 围 内 ) , (1-f/l)2近 似 等 于 公式 ( 1 )可以化为:

公式 ( 2 )为设计成像式亮度计的基本公式。
(1)测量参数:亮度、亮度分布;
(2)测量范围
(3)亮度精度:一级;
(4)积分时间:100ms-60s;
(5)测试距离:150mm-∞(150mm时可测量对象尺寸:约20mm×14mm);
(6)线性:≤0.2%
(7)空间均匀度:±2%
(8)16位A/D,多档量程自动切换;
(9)采用多重曝光技术,可实现对亮度差异很大的测量对象进行准确测量;
(10)USB通讯接口及软件;
(11)供电:交流220V,50Hz/60Hz, 或直流12V。