电子百科

对于多输入多输出(MIMO)系统,我们可以将其看成是SIMO情况与MISO情况的结合:信号发射与接收时在每个天线上都进行相位调整从而使得通过无线信道后总的信号功率最大。假设发射端有nT个发射天线,接收端有nR,个接收天线,且nT、nR均大于1,在发射端未知信道状态信息的条件下,最好的功率分配策略是在所有发射天线上进行等功率分配,此时

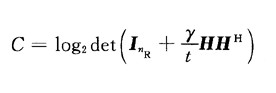
可得到非相关平坦衰落条件下MIMO系统的信道容量为

式中,γ=P/σ2为发送端的总功率P与每个接收天线的噪声方差的比值,也就是每根接收天线端的平均信噪比。对于nR×nT矩阵H,秩的最大值为m=min(nR,nT),也就是说,至多有叨个非零特征值。HHH是nR×nR阶矩阵。
由以上MIMO系统的容量表达式可以看出,将MIMO看作是由尼个相互之间不存在耦合的并行子信道组成,信道功率增益等于矩阵HHH的特征值。分析可得,MIMO系统的信道容量很大程度上取决于信道矩阵H的秩k。