0
问答首页 最新问题 热门问题 等待回答标签广场
我要提问

电子百科

积分电路

积分电路

积分电路原理

  •   根据“虚短”,得公式,即公式

      根据“虚断”,得公式

      因此公式

      电容器被充电,其充电电流为i2

      设电容器C的初始电压为零,则

    公式

      式中,负号表示vO与vS在相位上是相反的。

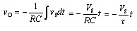
      当vS为阶跃电压时,电容将以恒流的方式进行充电,输出电压vo与时间t成近似线性关系:

    公式

      当t=1时,-vo=Vs。当t>1时,vo增大,直到-vo=+Vom,即运放输出电压的最大值Vom受直流电源电压的限制,致使运放进入饱和状态,vo保持不变,而停止积分。

积分电路特点

  •   1、积分电路可以使输入方波转换成三角波或者斜波

      2、积分电路电阻串联在主电路中,电容在干路中

      3、积分电路的时间常数t要大于或者等于10倍输入脉冲宽度

      4、积分电路输入和输出成积分关系

积分电路的用途

  •   1. 在电子开关中用于延迟。

      2. 波形变换。

      3. A/D转换中,将电压量变为时间量。

      4. 移相。

提问者:jiajia627 地点:- 浏览次数:7001 提问时间:08-31 09:17
我有更好的答案
提 交
撰写答案
提 交
1 / 3
1 / 3
相关电子百科
硅胶板
3D晶体管
双极性晶体管
晶体管时间继电器
导热硅胶垫