电子百科

阻容分压器是采用RC串联网络来分压的,具有电阻分压器低频性能好的优点及电容分压器高频性能好的优点,缺点是高阻低电容网络测试复杂。
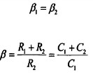
根据阻容分压器设计结构,原理如图所示

其中R1为高压臂电阻,R2为低压臂电阻,与电容C1和C2并联组成RC网络实现分压功能
分压比

低频分压器

高频分压器分压比
;若使得
,则

由此可以看出,让R1C1=R2C2,则分压比与频率无关。
1)分压器采用高精度电阻,电容组合件,特种工艺灌封,干式密封,不存在漏油问题。
2)输入阻抗高:降低了测试电流、功耗小,使产品体小质轻、性能稳定、测量精度高。
3)分压器、多值千伏表及专用电缆全部安放在一个铝合金箱内,安全可靠、便于携带和运输。
4)多值千伏表可直读直流平均值,交流峰值,真有效值,峰值 等电压值。
5)150KV以上采用有机复合绝缘外套,增加了表面爬距,大大降低了产品高度,使用携带更加方便。
阻容分压器分阻容串联分压器和阻容并联分压器,是在电阻分压器和电容分压器的基础上进行改脉冲高压强流测试装置的研制进而发展来的,其响应性能已经有了很大的改善,是更为优越的分压器。
1、阻容串联分压器
阻容串联分压器克服了电容回路的剩余电感,抑制了分压器的振荡。这种分压器也称为阻尼电容分压器,其响应特性比纯电容分压器更优良。但是,正由于电阻的接入,影响了其相应时间。阻尼电阻太大了会加大响应时间,当分压器在接入脉冲试验回路后,也会影响脉冲电压的形成。若阻尼电阻太小了,又不能完全消除振荡,而且,当低压臂只有电容时,也会增大相应的起始上升时间,分压器的响应特性也不太好,在测量陡波时尤为明显。
2、阻容并联分压器
阻容并联分压器是在电阻分压器的基础上,为了增大分压器的纵向电容,改善分压器上的电位分布,减小对地杂散电容的影响,提高分压器的响应特性而来的。制作良好的阻容并联分压器具有幅频特性好、线性度高等有点。而且阻容并联分压器因其测试的频带范围比较大,从直流、工频到冲击电压,基本覆盖全部试验电压的范围。