电子百科

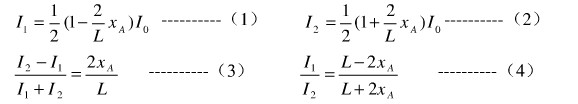
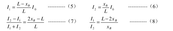
当一束光落在 PSD 上,相应于光能量的电荷在入射点产生,电荷通过 P 型电阻层被电极收集。P 型层 是均匀一体的电阻层,被电极收集到的光电流与入射 点和电极间距成反比。
由此可得出如下公式:I1 和 I2 是电极的光电流, L 和 I0 分别代表电极间距和总光电流。
当 PSD 几何中心设定为坐标原点:

当 PSD 一端设定为坐标原点:

由公式(3),(4),(7),(8)显示,不同的比率可得出相应的与光能量无关的入射光点的位置。
将二维方形PSD 应用于定位系统中, 模拟PSD 对准物体的过程, 确定PSD 与物体之间的相对位置;其应用系统框图如图所示;对准物体1 的中心装有一高亮度的发光二级管2, PSD传感器4安装于微动工作平台上; 二极管发出的光束经过光学系统3聚焦后,将光点成像于放置在透镜焦平面上的PSD的接收光敏面上, 这个光点信号经过前置放大电路5 转换为电信号。然后, 通过A /D采样6, 送入到计算机7 进行处理。从而确定PSD 对准物体平面上某一点的位置。

当对准位置在测量范围内移动时, 光斑与PSD 两电极间的距离发生变化, 使两电极输出电流随其光斑位置的变化而变化, 因此通过测定传感器两电极输出电流的大小, 便可知道PSD 与对准物体平面上的某一点位置相对应。