电子百科

集群通信系统,是一种高级移动调度系统,代表着通信体制之一的专用移动通信网发展方向。
CCIR称之为Trunking System(中继系统),为与无线中继的中继系统区别,自1987年以来,更多译者将其翻译成集群系统。
追溯到它的产生,集群的概念确实是从有线电话通信中的“中继”概念而来。1908年,E.C.Mo1ina发表的“中继”曲线的概念等级,证明了一群用户的若干中继线路的概率可以大大提高中继线的利用率。“集群”这一概念应用于无线电通信系统,把信道视为中继。“集群”的概念,还可从另一角度来认识,即与机电式(纵横制式)交换机类比,把有线的中继视为无线信道,把交换机的标志器视为集群系统的控制器,当中继为全利用度时,就可认为是集群的信道。集群系统控制器能把有限的信道动态地、自动地最佳分配给系统的所有用户,这实际上就是信道全利用度或我们经常使用的术语“信道共用”。
综上所述,所谓集群通信系统,即系统所具有的可用信道可为系统的全体用户共用,具有自动选择信道功能,它是共享资源、分担费用、共用信道设备及服务的多用途、高效能的无线调度通信系统。
传统的专用移动通信在移动通信中占有相当大的份量,最初由几部普通步话机就可以组成一个无线电调度网,这种网在厂、矿等部门仍被大量采用,但网的功能过于简单。其中有单频单工制和双频单工制两种工作方式,前者干扰大、设备简单;后者干扰小,但设备复杂一些。无论是单频单工还是双频单工制式,都只能是按键通话,一方讲话,另一方只能听。为避免通话上的不便,员通用的工作方式是双频双工,通话双方可以同时发信,但频率利用率低。典型的无线调度系统是单局单站制、双频双工工作方式,并且具有选择性呼叫功能的无线调度网,根据业务规模和组织方式,可确定其为单级调度或多级调度。
可见,传统的专用业务移动通信系统指的是应用于某个行业或某个部门内以调度指挥为主要特征的移动通信系统。这种通信方式顺其发展过程来看,从一对一单对对讲开始,到单信道一呼百应且进一步到选呼系统,后来发展成多信道自动拨号系统,它们的主要特点在于信道是“专有”的。也就是说通话过程中用户使用的频率是固定的,这就导致一旦用户选择了某信道,那么它的通话就只能在这一信道上,直至通话结束;如果这一信道已被其它用户占用,则它就不能选择其它空闲信道,从而出现阻塞。由此可见,传统的专用业务通信系统频率利用率低,而导致通信质量降低。
针对上述专用业务移动通信系统中存在的缺点,就产生了高层次的专用业务移动通信形式——集群通信系统。
1、共用频率 将原来配给各部门专有的频率加以集中,供各家共用。
2、共用设施 由于频率共用,就有可能将各家分建的控制中心和基站等设施集中合建。
3、共享覆盖区 可将各家邻近覆盖区的网络互连起来,从而获得更大覆盖区。
4、共享通信业务 可利用网络有组织地发送各种专业信息为大家服务。
5、分担费用 共同建网可以大大降低机房、电源等建网投资,减少运营人员,并可分摊费用。
6、改善服务 由于多信道共用,可调剂余缺、集中建网,可加强管理、维修,因此提高了服务等级,增加了系统功能。
7、具有调度指挥功能。
8、兼容有线通信。
9、智能化,微机软件化,增加了系统功能。
10、具有控制、交换、中继功能。
总之,集群通信系统是共享资源,分担费用,向用户提供优良服务的多用途、高效能而又廉价的先进无线调度通信系统。
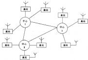
通常人们习惯地按照覆盖区半径大小、服务区的几何形状来对系统的网络结构分类。按照覆盖区半径的大小,分成大区网、中区网、小区网;按照服务区的几何形状,分成框状网、带状网、蜂房状网等等。根据国内外各种资料来看,集群通信系统的网络结构有下列四种方式:
单区、单点、单中心网络(图1.1);单区、多点、单中心网络(图1.2);多区、多中心网络(图1.3);多区、多层次、多中心网络(图1.4)。
这里所谓“中心”是指具有控制、交换功能的通信中心,它同时具有与市内电话网联接的功能;所谓“点”是指具有无线电信号收发功能的基地站。
下面详细介绍一下实际应用最多的类型。
1.单区、多点、单中心网络如图1.2所示,它由一个控制中心、多个基站、有线或无线调度台及网中若干移动台组成。
这种网络适用于一个地区内、多个部门共同使用的集群移动通信系统,可实现各部门用户通信,自成系统而网内的频率资源共享。
在这整个服务区域内设立了一个控制中心和多个基站(一个基站可以设多部基台、也可设一部基台)。多个基站区组合形成整个服务区。
各基站可通过无线或有线传输电路连接到控制中心。
控制中心通过中继线或用户线与市话端局或用户小交换机连接。
有线调度台通过有线传输电路与控制中心直接相连。在这种网络的设计和设备配置的考虑中应采取多点设址。
因各专业部门的业务需要不同,应按需设置基站,从而满足各专业部门的业务。对于早先已建成并各自独立使用频率、独立工作的专用网络,可方便地改造成频率资源共享的集群移动通信网。这一点充分证实了集群的优点,即充分利用原有设施,减少投资同时满足各自需要,实现了高效益。
当上述网络中基站只有一个时,网络就简化成图1.1所示的单区、单中心网络。它同样是由控制中心、基站、有线或无线调度台以及若干移动台组成。基站和控制中心可设在同一地点,也可分别设在不同地点,两者之间同样可通过无线或有线传输电路连接。通过用户线或中继线,同样也可以实现控制中心与用户小交换机或市话端局的连接。
2.多区、多中心、多层次网络如图1.3及图1.4所示,由区域控制中心、多个控制中心、多基站组成而形成整个服务区。可以看出,图1.3各控制中心通过有线或无线传输电路连接至区域控制中心,即形成了图1.4所示的网络结构。各控制中心将受到上一级的区域控制中心控制及管理。


控制中心主要处理所管辖基站区内和越区至本基站区内移动用户的业务。至于越区用户识别码的登记、控制频道分配、有线或无线用户寻找越区用户的业务,换言之,即位置登记、转移呼叫、越区频道转移的漫游业务,将区域控制中心处理。这样就形成了二级管理的区域网。
根据业务需要,还可以设立更高级的管理中心,将其与区域中心相连接,也可以通过有线或无线传输通道,处理各下区域间用户登记、呼叫建立、控制管理,从而对区域控制中心进行控制、管理以及监控。
集群通信系统除完成移动用户之间的通信外,还应能进行市内用户与移动用户间的通话。为达到这种通信目的,将中心基地站和用户终端结合在一起,再加上连接它们的有线通道和无线通道,就组成了一个移动通信网。
(1)基站它由若干基本无线收发信机、天线共用器、天馈线系统和电源等设备组成。天线共用器包括发信合路器和接收多路分路器。天馈线系统包括接收天线、发射天线和馈线。
(2)移动台用于运行中或停留在某未定地点进行通信的用户台,它包括车载台、便携台的手持台,由收发信机、控制单元、天馈线(或双工台)和电源组成。
(3)调度台它是能对移动台进行指挥、调度和管理的设备,分有线和无线调度台两种,无线调度台由收发机、控制单元、天馈线(或双工台)、电源和操作台组成。有线调度台只有操作台。
(4)控制中心控制中心包括系统控制器、系统管理终端和电源等设备,它主要控制和管理整个集群通信系统的运行、交换和接续。它由接口电源、交换矩阵、集群控制逻辑电路、有线接口电路、监控系统、电源和微机组成。

集群通信系统的控制中心原理示意图见图1.5。
其中有一个中央处理器,一个交换矩阵;一个调度指令台,对应一个收发基地台。
a、所有调度指令台和基地台都与交换中心相接。
b、每一个调度台每次可与它本网的一个移动台通信。
c、集群系统中的移动台之间不允许直接通信。
d、不是同一网的调度台不允许通信。
e、所有呼叫按到达顺序排队处理。
控制中心具体功能为:
a、把用户线从市内交换机扩展到移动用户。
b、转接与处理音频信号。
c、把市话用户线集中井分配到有限个无线信道上。
d、控制、管理和检测基站无线设备与移动台状态。
集群通信系统设备组成见图1.6。
集群通信系统通常有以下几种分类方式:
(1)按信令方式分有共路信令方式和随路信令方式。共路信令是设定一个专门的控制信道传信令,这种方式的优点是信令速度快,电路容易实现,但占用信道。随路信令是在一个信道中同时传话音和信令,信令不单独占用信道,可节约信道,缺点是接续速度慢。
(2)按信令占有信道方式分有固定式和搜索式。在固定式中,起呼占用固定信道。搜索式起呼占用随机信道,需不断搜索变化的信令信道,忙时信令信道可作话问信道,新空出的话音信道可接替控制信道。固定式实施简单,后者实施复杂。
(3)按通话占用信道分有信息集群(亦称消息集群)和传输集群。信息集群系统中,用户通话占用一次信道完成整个通话过程,而传输集群系统中,一次完整的通话要分几次在不同的信道上完成。信息集群的优点是通话完整性好,缺点是讲话停顿时仍占信道,信道利用率低。传输集群一般分为纯传输集群和准传输集群,或两者兼用,这种方式的优点是信道利用率高、通信保密性好,缺点是通话完整性较差。
(4)按控制方式分有集中控制方式和分散控制方式。集中控制式是指由一个智能终端控制,统一管理系统内话务信道的方式。分散式是指每一信道都有单独的智能控制终端的管理方式。
(5)按呼叫处理方式分有损失制和等待制系统。损失制系统中,当话音信道占满时,呼叫被示忙,要通话需重新呼叫,信道利用率低。在等待制系统中,信道被占满时,对新申请者采取呼叫排队方式处理,不必重新申请,信道利用率高。
根据集群用户业务需要,集群移动通信系统从组网规模上看,可分为单区系统和多区系统。
单区系统适用于容量小、覆盖面积小的业务组网,该系统设备组成简单,即由一个基本型的系统设备组成。
多区系统适用于容量大、覆盖面大的业务组网,其系统设备组成复杂,它由多个单区系统加上连接设备(有线或无线及专用接口设备)组合而成。无论是单区制还是多区制的集群通信系统,它们所要完成的基本功能是相同的。
(1)系统一般功能(以典型系统为例):
集群系统信道:20个单呼地址码数目:48000个群呼组数:4000每群最大用户数:48000数据速率:1.2—19.2kbps按续时间:小于0.5秒(2)系统可靠性能多信道:按申请分配,一个信道故障,仍正常工作;接收机干扰关闭发射机故障关闭系统自我诊断故障弱化(3)系统入网功能自动重发,按下PTT开关时,自动重发电话号码,直到接通为止忙时排队/回叫(特有)最近用户优先错误移动台保护连续性更新指定禁止通话音呼叫序列个别私密通话系统寻找和锁定连网操作(4)优先级别系统有5—8个优先级别:
紧急呼叫战术性优先指令优先操作性优先正常(5)特殊呼叫系统呼叫大组呼叫小组呼叫(6)自动电话互联能提供自动全双工移动电话功能无线---有线转换,无线电话会议DTMF信令,50个号码存取,自动拨号私密通话数字话音加密国内长途,国际直拨(事先申请)一般用户限时(7)特殊功能移动数据终端中断和常用扫描内部诊断结果和占用时间管理自动多站选择无线电禁止动态重组(8)通信功能无线用户可与有线用户进行通信有线用户可与无线用户选址通信(个人直呼和组呼)无线用户之间进行可选呼通信(个人选呼和组呼)(9)具有电脑管理自动计时计费系统功能,并设有话音存贮、输出打印功能。
(10)根据不同用户的需要,管理人员可通过显示器和键盘或固化的标准软件将通信网正常工作时的系统文件、用户文件输入计算机内,使管理人员能及时了解网内的工作情况(11)具有全禁听、禁发功能若某一用户在占用信道,其他无线用户则处于禁听、禁发状态,即听不到别的用户讲话声音,通过电台的收信指示灯,可以知道处于忙时。此时如有别的用户发信,电台则会通过本身的扬声器发出忙时提示音,完成禁发,从而不会干扰正在通话的用户。
(12)其他功能故障报警,有声、灯、显示部位三种方式同时进行。
中继线使用情况记录基地台故障报警移动台的数传及终端处理传送图表、图片及静止图象存贮电话号码(13)优先级移动无线用户分特权用户和普通用户5—8级,特权用户具有强插、通话不限时、全呼、选呼功能;普通用户不具备强插、通话、全呼、保留选呼功能。
网内的所有用户均未通信。
所有移动台(车台、手持台等)、固定台及中心台都守候在自身的信道上。
移动台与有线电话互连时,它通过自身的信道,发出一串数字信令,给中心台的网络终端。
网络终端收到数字信令后,首先确认该移动台是否是合法用户,如果该移动台没有进行入网登 记处理,将不提供服务。
如果该移动台是合法用户,网络终端通过计算机分配一个空闲信道给该用户接上有线电话,建立通信。此信道被占用后,其它任何无线用户不得在其拆线之前使用信道。
如果没有空闲信道,系统繁忙时,要求通信的用户被编入等候行列进行排队。此时,网络终端会自动发出无空闲的繁忙信号,请稍候。
一旦有空闲信道时,网络终端会自动回叫排在第一位的用户,建立通信,而无需再操作任何系统。
无线集群通信接续有移动台至移动台、移动台至有线电话、有线电话至移动台的几种过程。现将移动台至移动台的接续工作过程用流程图方式解释如图1.8,可参考系统框图1.7。

图1.7 集群无线电通信系统框图图

1.8 集群无线电通信系统工作流程图
一、SMARTNET集群移动通信系统
1.系统概况
SMARTNET是美国MOTOROLA公司生产的模拟集群移动通信系统。
SMARTNET(智慧网)包括SMARTNET智慧网II型和STARSITE(智慧站)两种集群移动通信系统。SMARTNET与STARSITE主要区别是系统容量和系统功能不同,但两种集群移动通信系统所采用的先进的微处理枝术和电信枝术是相同的。
SMARTNET II具有较大的信道容量和全部集群功能,最大可以提供28个话音信道,最多可配接21条电话线,可容纳48000个单机识别码,4000个通话组码。
STARSITE信道容量有限,最大可提供5个话音信道,最多可分配接3条电话线,可容纳16000个单机识别码和2000个通话组识别码,STARSITE具有SMARTNET II所具有的功能。
SMARTNET系统所适用的频段非常广泛,分别为VHF频段(136—l58MHz,146—176MHz)和UHF频段(403—430MHz,450—470MHz,806—866MHz,896—941MHz)。集群方式采用准传输集群,专用控制信道集中控制技术,信令方式为不公开的专用数字信令,以3600bit/s速率传输,调制方式为FSK调制。为了解决争用控制而组成时隙结构,使用78bit字组格式。在话音信道上还传输150bit/s、21bit字组格式的信令,作为移动台提供联络和拆线用的亚音频信令。为了保护信息的正确性,信令传输采用BCH码纠错技术。
SMARTNET系统可提供单呼、群呼、自动重发、繁忙排队、回叫、多层优先等级、动态重组、自我诊断、故障弱化等功能,还可在指定信道上实现数据传输。该系统采用全双工或半双工方式,基地站以全双工方式操作,移动台可双工也可半双工。为了扩展覆盖范围,可增设常规中继站,用有线或无线链路将几个基本系统联网而构成大网,增设一个系统主控制管理大网、一个大网通常可达15个基本系统。
2.系统组成
SMARTNET系统组成如图1.9所示。主要组成部分有:中央控制器、电话互联终端、集群信道机、收发天线共用器、天线、系统管理终端、动态重组终端、系统监视终端以及调度台、移动台和手持机等设备。

图1.9 智慧网系统组成
系统设备典型配置如图1.10所示。
具有数传功能的SMARTNET集群移动通信系统的系统管理终端提供系统管理、时间参数、用户优先等级、修改、故障示警以及信息打印等输出。若配置中央电子单元(CEB),可设十个有线调度台。增设电话互联终端(CIT),可提供3—9条自动互联通道,以DTMF信令与PSTN及PABX互联。

图1.10 SMARTNET典型系统配置
二、FAST集群移动通信系统
1.系统概况
FAST是美国UNIDEN公司生产的集群移动通信系统,它的全称是Fast Access SystemTrunking。采用传输集群方式,非专用信道的分布式控制技术,信令方式为公开的LTR信令,300bit/3的速率传输,利用亚音频(低于150Hz)调制的数字式FSK方式,适用的频段为800MHz、l900MHz。
该系统因不用专用控制信道和系统控制器,而具有入网时间短和信道利用充分等特点,移动台每次与系统进行联系直到充分得到所分配的通信信道为止,整个过程小于300ms。系统中每个信道在发射和接收话音的同时,也在同时发射和接收亚音频信令,用来控制中继器和每个移动台。该系统每一信道可有250个唯一身份号。
FAST系统具有选呼、组呼、群呼功能,还提供记帐功能和电话连接功能,同时还可进行数传。
该系统采用全双工或半双工方式,基站是以全双工方式操作,移动台可选用全双工或半双设备。多个FAST系统可连接成一个多基站的FASTNET系统,只需要在多个FAST系统增设M7032设备,通过有线或无线链路将几个FAST连接即成。所有FASTNET系统中的移动用户的均可在各区网中漫游。
2.系统组成
图1.11所示为FAST系统基本组成图。

图1.11 FAST集群移动通信系统
图中主要组成有:集群控制器ZETRON—49、中继器MRS804、系统功放ARX、电源 ARX310、发射机合路器、接收机多路锅台器、天线、系统管理终端、移动台、手持机。
三、MULTI—NET集群移动通信系统
1.系统概述
美国E.F.JOHNSON公司生产的MULTI—NET(多功能网)集群移动通信系统,是在原(逻辑集群通信网)基础上改进而成的,采用传输集群式专用信道的分布式控制技术,信令方式为半公开的LTR信令,采用300bit/s亚音频(低于150MHz)调制的数字式随路信令,与话音同时传送,不占用信道,不用专用系统控制器,具有充分利用信道和入网时间短等特点,系统接续时间不超过300ms。该系统适用的频段为800MHz和900MHz。每个信道可分配多达250个识别码,系统可由1个信道扩展至20信道。
MULTI—NET集群移动通信系统提供选呼、群呼、全呼、紧急呼叫功能,系统还提供管理和电话连接功能。
该系统采用全双工或半双工方式,基地台以全双工方式操作,移动台可选全双工设备或双工设备。早期生产的LTR—8610/15型、LTR—8870型均为半双工方式的移动台。
MULTI—NET集群移动通信系统可经无线网络终端(RNT)组合成MULTI—NER信道、LTR信道、常规通信信道的混合网,也可将几个频段几种信令在一个系统中混合使用,并与有电话网互联,形成一个完整的综合通信网。为了扩大通信覆盖范围,E.F.JOHNSON又开发了AMERICON广域网。
2.系统组成
如图1.12所示为MULTI—NET集群移动通信系统组成结构图。

图1.12 MULTI-NET集群移动通信系统
该系统的主要组成有:MULTI—NET转发器、无线网络终端(RNT)、调度操作台、系统管理端、话音链路、移动台、手持机。
转发器LTR—8000是由激励器、接收机、逻辑单元、射频功率放大器和电源构成。转发器的频率范围为TX:85l一865MHz;RX:806—821MHz;接收机灵敏度为0.35?v(12db信纳)或0.50?v(20db信噪);发射机输出功率60w。所有转发器都由高速数据总线连接(即500欧姆同轴电缆)。
移动台LTR—8610/15型及LTR—8870型收发信机是由30/35w单工收发机配置频率合成器及控制逻辑构成。接收机灵敏度为0.3—0.35?v(12db信纳),0.5?v(20dB信噪)。
四、ACTIONET集群移动通信系统
1.系统概况
芬兰NOKIA公司的ACTIONET集群移动通信系统,适用于UHF频段,是西欧集群移通信系统的典型代表,采用信息集群方式、专用控制信道技术、采用公开的MPT—1327信,实现了该规约中关于呼叫类型及处理的基本思想。采用加强动态帧长ALOHA结构,信令1200bit/s速率,采用FFSK调制方式。
ACTIONET系统以调度通话为主,兼有数传功能。该系统以移动交换(MX)为中心,与基地台(BS)相连构成系统的无线网络。移动交换机(MX)与专用小交换机(PABX)或市话交换网(PSTN)相连,实现无线与有线的互联。
该系统中,每个基站都有5---15个无线信道,最多可达到30个基站。其中一个信道作为控制信道,系统规定本控制信道失效时,其余的话音信道将充当控制信道。控制信道分为128个时隙,每一个时隙都包含着来自MX(经过BC)的下行控制信息,任何一个无线用户都可以随选取一个时隙发出自己的呼叫请求。
ACTIONET系统组网灵活,可以将几个基本系统联网,扩展为大覆盖区的区域网,这只需设一个系统交换机(SX)即可实现,区域网的用户可以实现漫游。
2.系统组成
如图l.13及图1.14所示,分别为ACTIONET集群移动通信系统结构及ACTIONET区域性系统框图。

图1.13 ACCTIONET集群移动通信系

图1.14 ACTIONET区域性系统框图
该系统的主要组成有:移动交换机(MX)、基站(BS)、调度电话(CP)、管理终端(O&M)、移动台(MS)手机等设备。
多个ACTIONET系统构成的区域网由系统交换机SX及各个ACTIONET集群移动通信系统组成。
移动交换机(MX)是由呼叫控制计算机、操作控制计算机及有线电话接口组成,它完成集群移动通信系统中接、交换、控制操作和维护功能。Mx可分为三种不同的容量:32线、64线、96线,相应地确定了可连接的信道数和有线中继线数目。
MX的主要性能指数:频响-3 --- +1dB,在0.3 --- 3.4kHz范围内;串话小于-60dBmop(加入800MHz/0db?信号)、背景噪声小于-55dBmop、供电电源48v、最大功率700W、工作环境温度5 --- 40。C、相对湿度5 --- 85%。
基站BS的组成是:收发信机、线路接口控制单元(LIC)、收发信共用器和测量单元。
BS通过LIC利用四线与MX相连,由MX控制BS无线频率和发射开启。
BS主要性能指标:频率为80MHz、160MHz、450MHz;频道间隔为12.5MHz或25MHz;每信道收发信机最大功耗为200W;工作环境湿度为-10 --- 550。C;相对湿度为5---95%。
R58为NOKIA推出的移动台,它是数字信令、频率合成、微处理器控制的移动台,可全双工通信,并具有数传功能。250个信道,采用RS-232接口用于数传,单、双工工作模式转换,可执行多种呼叫功能。