电子百科

变频器功率模块内部封装一部分是由二极管组成的单相或三相桥式整流电路,另一部分是由六个IGBT管(绝缘栅双极晶体管)和配合使用的六个阻尼二极管组成的三相桥式输出电路。

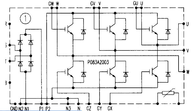
上图所示是P083A2003通用变频器功率模块的内部结构和引脚电路图。R、S、T是电源输入端,该模块是交流220V供电的,R脚为空脚,内部是单相桥式整流。
P1是+300V整流输出正端,N1是整流输出负端,此两脚外接滤波电解电容,并通过互感线圈P1与P2连通,N l与N2连通,向六个IGBT管组成的输出桥供电。
三相输出桥的上半桥三个IGBT管集电极都与电源正端相连,发射极分别是U、V、W三相输出端,三个管的发射极与栅极又构成三相上半桥驱动信号输入端GU-U、GV-V、GW-W。三相输出桥的下半桥三个IGBT管集电极分别与U、V、W相连,发射极都与电源负端相连,三个管的栅极与电源负端构成三相下半桥驱动信号输入端GX、GY、GZ,B是制动控制端。
此模块内部无制动电路。TH是内部热敏电阻保护输出端。其他型号的通用变频器功率模块的引脚和在电路板上的标注虽然各有不同,但不难辨认主要功能脚位置。高端产品采用智能型功率模块,内部包含驱动电路和制动电路,引脚相应多一些。
功率模块在路检测(脱离电网)时,用指针万用表R×l挡分别正反测量整流桥的六个二极管和输出桥的六个IGBT管的集电极与发射极可判断其是否击穿,表l和表2是正常测量结果,否则内部有击穿元件。用指针万用表Bx1k挡分别测量六个IGBT管的栅极与发射极间的电阻(驱动信号输入端)应一样,有不同时则是驱动电路或IGBT管损坏。以上测量只能测出IGBT管击穿性损坏。测不出开路性损坏。把功率模块从电路板上拆下后可对每个IGBT管进行进一步测量,方法如图1所示,表针在左边表示不导通。表针在右边表示导通。如不能使之导通和截止,则是该管损坏。

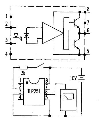
TLP251是变频器常用的光耦驱动电路,当功率模块击穿时常殃及该电路。其内部电路和测量方法如图2所示。当②脚经3kΩ电阻与10V电源断开或接通时。⑥脚有0V或9V的高低电压变化。

例一:一台5.5KW
故障现象:静态测量逆变模块正常,整流模块损坏。
故障分析:整流器损坏通常是由于直流负载过载,短路和元件老化引起。测量PN之间的反向电阻值,(红表笔接P,黑表笔接N),可以反映直流负载是否有过载短路现象。测出PN间电阻值150R,正常值应大于几十KR,说明直流负载有过载现象。逆变模块是正常的可以排除,检查滤波大电容,均压电阻正常,测制动开关元件损坏短路,拆下制动开关元件测PN间电阻值正常。
故障原因:制动开关元器件的损坏可能是由于变频减速时间设定过短,制动过程中产生较大的制动电流而损坏。整流模块长期处于过载状况下工作而损坏。
故障处理:更换制动开关元器件和整流模块。
例二:一台11KW
故障现象:静态测量逆变模块正常,整流模块损坏。
故障分析:测量PN之间的反向电阻值正常。初步认定直流负载无过载、短路现象。在拆卸变频器时,发现主电路有过打火的痕迹,继而发现短接限流电阻的继电器触点打火后烧坏连接在一起,这可能就是整流器损坏的原因所在。
故障原因:变频器通电瞬间,充电电流经限流电阻限值后对滤波电容充电,当PN间电压升到接近额定值时,继电器动作,短接限流电阻(俗称软启电阻)。因继电器是常开触点,由于损坏而触点始终闭合,短接了限流电阻,导致整流器损坏。
故障处理:更换继电器,整流模块即可。
例三:一台22KW
故障现象:逆变模块正常,整流模块损坏,运行中报欠压故障。
故障分析:打开机器在主电路发现异常,整流模块的三相输入端的V 相有打火的痕迹;后来通电变频器在轻负载运行下正常,当负载加到满载时运行一会就报欠压。初步认为整流模块自然老化损坏,(已经用三年多)
故障原因:由于变频器不断的启动和停止,加之电网电压的不稳定或电压过高造成整流模块软击穿(就是处于半导通状态,没有完全坏,低电流下还可运行)。
故障处理:更换整流模块
例四:一台2.2KW
故障现象:整流模块正常,逆变模块损坏,报软件过流故障。
故障分析:拆下机器主板先测验驱动电路,在驱动电路上未发现异常。给直流信号,检测驱支信号,发现有一路驱动输出无负压值。测量波形幅真明显大于其它五路波形。检测负压上的滤波电容正常,检测稳压二极管Z2损坏。
故障原因:IGBT因驱动信号电压过高而损坏。
故障处理:更换稳压二极管。
例五:一台7.5KW
故障现象:整流模块正常,逆变模块损坏,报过流故障。
故障分析:打开变频器,变频器内部堆积了厚厚的灰尘,还有一些油污,变频器输出端不有明显的打火过的痕迹。清洗后检查没有什么异常。可以认定是变频器输入端打火产生电流所致(由于变频器的绝缘性降低了,所以通电就会打火拉弧)。
故障原因:变频器是电子产品需要维护保养和定期检查维修,这对减少变频器故障和延长变频寿命是非常重要的。国内很多用户对这一点还做得不够,直到变频器出现故障到维修还是没有这个观念。
故障处理:清洗变频器内的灰尘,更换IGBT模块。(仅供参考)
热计算是功率模块选型的重要方面之一,目前发热与可靠性计算正在逐步脱离靠经验估算或模仿的范畴,而被精确的仿真计算所取代。
20世纪90年代以来,IGBT(绝缘栅双极晶体管)开始全面取代GTR(大功率双极晶体管),从而成为电力电子行业的主导器件。以IGBT功率器件为基础的各种功率变换设备,如变频器、不间断电源、逆变焊机等逐步走向工业和民用的各个角落。特别是随着新世纪的到来,人们节能环保意识普遍加强,加之世界能源的日渐贫乏,电力电子器件与设备的应用越来越得到人们的重视。
由于功率器件在开关运行过程中,不可避免地产生大量的热量,需要借助外部散热系统来将之带走。散热不完全或不及时的直接后果是导致器件的温度过高,芯片的晶体结构发生不可逆转的变化而失效,严重时导致短路或其它爆炸事件。所以通过仿真计算与试验,确保器件在任何运行状态下都不超过给定的温度,是电力电子设备热路设计的主要内容。
另外,运行在交变工况下的功率器件,其芯片的温升随负载而上下波动。由于器件内部相互连接(焊接、键接、压接等)的各部分受热后的膨胀程度不一致,于是在连接处产生应力,时间久了连接会发生疲劳直至器件失效。试验结果表明,器件的寿命主要与芯片温度变化的幅度以及芯片的平均绝对温度有关。图1显示了着名的LESIT研究结果 [1]。

所以,功率器件热路计算的另一个任务是推算特定负载条件下器件的温度变化曲线,进而设计与预测器件的可靠性与寿命。
最后,通过对器件损耗的计算,对系统的散热进行评估或优化,是安全、经济地设计电力电子设备的一个重要组成部分。
器件功率损耗计算的原理
功率器件在运行中,芯片内部所产生的损耗可由下式表示:

在工程计算中,这一特性可以用一直线来近似,取该直线(b)与横轴的交点(开启电压VT0)与直线的斜率(等效通态电阻rT)作为通态特性的基本参数。我们得到:

其中:
Iav为通态电流的平均值;
Irms则为其有效值;
FI为电流波形系数。
功率器件在不同的应用中,电流为正弦半波或脉冲方波,但均可由其有效值及平均值出发根据其通态特性来计算出其通态损耗。
同理可计算器件的正向或反向截止损耗。但一般来说这部分损耗可忽略不计。
器件的开通或关断损耗则可表达为:
其中:
为开关频率;
为器件开关一次的开通或关断损耗。在驱动参数一定的情况下, 的值与直流母线电压 、开通或关断瞬间的负载电流 及芯片结温 有关。
正弦调制PWM逆变器的功耗与温升计算
1992年,赛米控公司的D.Srajber首先提出了计算正弦调制的PWM逆变器的功耗与温升的方法[2]。随后,这一方法被广大用户以及其它制造商所接受和引用[3] [4] [5]。该方法采用图2所示的线性近似来计算一个正弦周期内器件的平均损耗,进而得到芯片的平均结温:
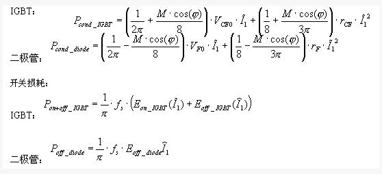
通态损耗:

M为调制比, 为负载功率因数;
为IGBT在集电极电流为零时的开启电压, 为IGBT的通态电阻(输出特性的斜率); 为二极管在正向电流为零时的开启电压, 为二极管的通态电阻(输出特性的斜率); 为开关频率, 为输出电流峰值。
大量的实验证明,在逆变器输出频率为50Hz时,这一计算方法的结果是相当准确的。尽管器件的实际功耗与输出频率同步波动,但由于芯片传热时间常数大大高于波动的周期(=0.02s),结温的变化不太明显,仅在上下数度左右(参考图3,[6])。此时,使用平均结温来代替最高结温在工程上是允许的。
逆变器低频输出时功耗与温升的推算
当逆变器的输出频率降低,呈正弦半波状的输出电流在同一只器件上的停留时间变长。当输出电流在峰值附近时,最大电流对芯片的作用时间也相应延长。而芯片的传热时间常数不变,芯片的结温随之迅速上升。频率越低时,这一上升就越明显,在输出频率为1-2Hz时,最大结温甚至会高出平均结温20K以上。在输出频率接近0Hz时,芯片所承受的电流近似为 倍于额定电流的直流,此时结温达到最大值(图3)。

图3:不同基波输出频率下的最大结温与平均结温的关系 [6]
在[4]中,对以上这一现象的研究导致了所谓频率校正系数的引入。频率校正系数

在计算低频运行的结温时,采用计算而得的平均结温与壳温之差,再乘以相应频率下的频率校正系数,便可得出最大结温。
当散热条件改变时,特别是当散热器有所不同时,频率校正系数的曲线略有变化,采用频率校正系数来推算最大结温的方法产生了一定的局限性。
逆变器低频输出时功耗与温升的仿真计算
为了在低输出频率时更准确地计算最大结温,可以先计算功率器件的瞬时功率损耗。然后根据器件与散热器的动态传热模型计算出芯片的瞬态结温。在计算中,芯片的温度由其损耗所决定,而损耗又与芯片的参数相关,后者最终随芯片的温度而变化。所以,计算过程是一个用迭代法来逐步逼进的过程。
另外在计算中,需要建立器件与散热器的动态传热模型。由[7]可知,两者均可通过如图5所示的串联RC元件来等效。一般来说,在电力电子散热系统中,使用3-5组RC元件便可以足够精确地描述系统的各部分,如芯片-底板、底板-散热器、散热器-空气等。

该等效模型中RC元件的参数可以通过实测器件或散热器的发热或冷却曲线来获得。为了给用户提供方便,赛米控在其技术手册中提供了所有器件的动态热参数,以及部分典型散热器的热参数。
芯片在时刻tQ相对于时刻t0时的温升可由下式计算:
其中:
为第Q个脉冲结束时的温升,Q为一个脉冲序列所含脉冲的个数;
P为每个脉冲的功率损耗;其计算公式如本文第二节所叙,其中VCE0、rCE等器件参数又为温度T的函数。
、 为RC元件的参数。
在赛米控率先推出的SEMISEL仿真程序中,便采取了以上计算原理 [8]。程序中迭代算法的公式及流程如下:

计算结果
采用以上方法计算三相逆变器在输出电流为纯正弦波情况下的器件及散热器温度如图6所示。由图可清楚地看到结温在电流周期性变化时随时间而周期性变化。

以上计算的结果可以用来检查芯片的最大结温以确保其在正常的范围内工作。在SEMISEL仿真程序中,程序直接根据计算出的温度判定所选模块是否恰当,并同时给出了器件的各类损耗,便于用来作进一步的分析和系统优化。
例如,利用SEMISEL,可以对现有散热系统进行评估或采用虚拟散热器来设计散热系统。
另外,在交变负载情况下,如机车牵引、电梯、卷扬机等,可以通过仿真器件温度的波动来预估器件的工作寿命。在这方面,一个典型的应用例子是风力发电。由于风力的极其不确定性,对寿命的预测是建立在大量的长时间测量基础上的。应用上述方法,赛米控成功地处理了单次采样为15000组的数据,为客户选型提供了可靠性参数。
还有,在给定最大运行结温的情况下,可以计算出器件的最大输出电流与开关频率及输出频率的关系。这样就可以比较不同种类器件的电流输出能力。图7例示了不同开关频率下某器件的最大输出电流的仿真计算曲线。

图7:不同开关频率下的最大输出电流仿真计算曲线
在仿真的基础上,功率器件的选型(如不同种类器件之间的比较)、参数的优化(如通过计算得到的开关频率曲线、输出频率曲线、效率曲线等)、散热系统的设计(热阻的确定,热路的优化)变得非常简单明了。仿真――按优化方案设计样机--试验验证成为现代电力电子设计的必由之路。