电子百科

薄膜电阻这一概念的使用,与电阻或者电阻率相对,是它直接用四终端感应测量法(也称为四点探针测量法)来测量。
薄膜电阻用欧姆/平方来计量,可被应用于将薄膜考虑为一个二维实体的二维系统。它与三维系统下所用的电阻率的概念对等。当使用到薄膜电阻一词的时候,电流必须沿着薄膜平面流动,而非与其垂直。
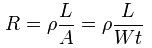
对于常规三维导体,电阻可被写为

其中ρ代表电阻率,A代表截面面积而L代表长度。截面面积可被分解为宽度W和薄膜厚度t。
当把电阻率和厚度放到一起时,电阻可被记为

Rs即为薄膜电阻。因为它被一个无量纲量所乘,所以单位依然是欧姆。而欧姆/平方这一单位被使用是因为它给出了以欧姆为单位的从一个平方区域流向相对平方区域的电阻,无论平方区域的大小如何。对于正方情形,L = W。因此,对任意平方大小,有R = Rs。

1、碳膜电阻器
碳膜电阻碳膜电阻(碳薄膜电阻)为最早期也最普遍使用的电阻器,利用真空喷涂技术在瓷棒上面喷涂一层碳膜,再将碳膜外层加工切割成螺旋纹状,依照螺旋纹的多寡来定其电阻值,螺旋纹愈多时表示电阻值愈大。最后在外层涂上环氧树脂密封保护而成。其阻值误差虽然较金属皮膜电阻高,但由于价钱便宜。碳膜电阻器仍广泛应用在各类产品上,是目前电子,电器,设备,资讯产品之最基本零组件。
2、金属膜电阻器
金属膜电阻金属膜电阻(金属拍摄电阻)同样利用真空喷涂技术在瓷棒上面喷涂,只是将炭膜换成金属膜(如镍铬) ,并在金属膜车上螺旋纹做出不同阻值,并且于瓷棒两端度上贵金属。虽然它较碳膜电阻器贵,但低杂音,稳定,受温度影响小,精确度高成了它的优势。因此被广泛应用于高级音响器材,电脑,仪表,国防及太空设备等方面。
3、金属氧化膜电阻器
某些仪器或装置需要长期在高温的环境下操作,使用一般的电阻会未能保持其安定性。在这种情况下可使用金属氧化膜电阻(金属氧化膜电阻化物薄膜电阻器) ,它是利用高温燃烧技术于高热传导的瓷棒上面烧附一层金属氧化薄膜(用锡和锡的化合物喷制成溶液,经喷雾送入500~500℃的恒温炉,涂覆在旋转的陶瓷基体上而形成的。材料也可以氧化锌等) ,并在金属氧化薄膜车上螺旋纹做出不同阻值,然后于外层喷涂不燃性涂料。其性能与金属膜电阻器类似,但电阻值范围窄。它能够在高温下仍保持其安定性,其典型的特点是金属氧化膜与陶瓷基体结合的更牢,电阻皮膜负载之电力亦较高。耐酸碱能力强,抗盐雾,因而适用于在恶劣的环境下工作。它还兼备低杂音,稳定,高频特性好的优点。
4、合成膜电阻器
将导电合成物悬浮液涂敷在基体上而得,因此也叫漆膜电阻。
由于其导电层呈现颗粒状结构,所以其噪声大,精度低,主要用他制造高压, 高阻, 小型电阻器。
薄膜电阻和厚膜电阻的区别是:
其一是膜厚的区别,厚膜电路的膜厚一般大于10μm,薄膜的膜厚小于10μm,大多处于小于1μm;
其二是制造工艺的区别,厚膜电路一般采用丝网印刷工艺,薄膜电路采用的是真空蒸发、磁控溅射等工艺方法。