电子百科

电磁辐射传感器是由四个基本部件组成:

1、收集器:负责收集地面目标辐射的电磁波能量.具体元件形式多种多样,如透镜组,反射 镜组, 天线等.
2、探测器:主要功能是将收集到的电磁辐射能转变为化学能或电能.具体 的元器件主要有感 光胶片,光电管,光敏和热敏探测元件,共振腔谐振器等.
3、处理器:对转换后的信号进行各种处理,如显影,定影,信号放大,变换,校正和编码等。具体的处理器类型有摄影处理装置和电子处理装置.
4、输出器:输出信息的装置.输出器类型主要有扫描晒像仪,阴极射线管,电视显像管, 磁带记录仪,XY彩色喷笔记录仪等。
(1) 电磁辐射与地表的相互作用
电磁辐射能与地表的相互作用,主要有三种基本的物理过程——反射、吸收、透射。
应用能量守恒原理,我们可将三者关系描述如下:
EI(λ)=ER(λ)+EA(λ)十Et(λ)
式中,EI为入射能量,ER为反射能,EA为吸收能,Et为透射能,它们均是波长的函数。这里能量反射R、吸收A、透射t的比例,及每个过程的性质对于不同的地表特征是变化的。这种变化一方面依赖于地表特征的性质与状态,如物质组成、几何特征、光照角度等;另一方面依赖于波长,不同波长表现出不同特点的相互作用过程。
● 几个重要的辐射度量概念
a.立体角(Solid angle):立体角是辐射通量定量测量的一个基本概念,采用类似弧度的度量方法。表示为锥体所拦截的球面积σ与半径r的平方之比,表示为:Ω=s/r2。立体角的单位用球面度(Steradian,简写为Sr)表示,面积为4πr2的球,其立体角为4π球面度。

b.辐射能W:电磁辐射所携带(或传递)的能量,它表示在给定的时间间隔内由辐射源辐射出的全部能量。辐射能的单位是焦尔(符号J)。
c.辐射通量Φ:辐射能传递的时间速率,是单位时间内所传递的能量。常用单位是瓦(符号W)。表示为: Φ=dΩ /dt。大多数传感器响应的是辐射能传递的时间速率,而不是所传递的总能量。
d.辐射通量密度:单位面积所截获的辐射通量。
e.辐射强度(Radiant intensity)I :辐射源每单位立体角所发出的辐射通量密度,单位为瓦?球面度-1(W ·Sr-1)。表示为 : I=dΦ/dΩ辐射强度I具有方向性,因此I(θ)是θ的函数。对于各向辐射同性辐射源, I=Φ/4π 。

f.辐照度(Irradiance):投射到表面上的辐射通量密度,用符号E表示(单位为W·m-2)。表示为E=dΦ/dS 。
g.出射度(Radiant emittance):从表面发出的辐射通量密度,用符号M表示(单位为W·m-2)。
h.辐射亮度(Radiance)L:辐射亮度确定面辐射源的辐射强度。L具有方向性,指辐射源在某一方向的单位投影表面在单位立体角内的辐射通量,单位是瓦/米2·球面度(W/m2·Sr)。表示为 L(θ)=d2Φ/dΩ(dAcos θ)。通常情况下,面元的L(θ)随观测的角度θ而改变。当某一辐射源的L(θ)与θ无关时,这种辐射源被称为朗伯(Lambert)源。严格地说,只有绝对黑体(Black body)才是朗伯源。

1) 反射(reflection)
当电磁辐射能到达两种不同介质的分界面时,入射能量的一部分或全部返回原介质的现象,称之为反射。反射的特征可以通过反射率表示,它是波长的函数,故称为光谱反射率r(λ) 。光谱反射率r(λ) 被定义为:

r(λ)以百分数表示,其值在0-1之间。
以太阳光作为入射光的反射率,称为反照率(albedo)。反照率也就是自然物体的反射率。物体的光谱反射率随波长变化的曲线称为光谱反射率曲线,它的形状反映了地物的波谱特征。反射率不仅是波长的函数,同时也是入射角,物体的电学性质(电导、介电、磁学性质等)以及表面粗糙度、质地等的函数。因此,对于遥感应用而言,任何物体的反射性质,最能揭示目标的本质,并最为有用。
物体对电磁波的反射有三种形式:
a)镜面反射(Specular reflection)
当入射能量全部或几乎全部按相反方向反射,且反射角等于入射角,称为镜面反射。若表面相对于入射波长是光滑的,则出现镜面反射.对可见光而言,在镜面、光滑金属表面、平静水体表面均可发生镜面反射;而对微波而言,由于波长较长,故马路面也符合镜面反射规律。
b)漫反射(diffuse reflection)
当入射能量在所有方向均匀反射,即入射能量以入射点为中心,在整个半球空间内向四周各向同性的反射能量的现象,称为漫反射。
一个完全的漫射体称为朗伯体(Lambertian)。从任何角度观察朗伯体表面,其辐射亮度都相同。若表面相对于入射波长是粗糙的,即当入射波长比地表高度小或比地表组成物质粒度小时,则表面发生漫反射。如对可见光而言,土石路面、均一的草地表面均属漫射体。漫射体保留了反射表面的光谱信息(颜色或亮度)。因而在遥感领域被广泛应用。
c)方向反射(Directional reflection)
朗伯体表面实际上是一个理想化的表面.它被假定为介质是均匀的、各向同性的,并在遥感中多用以作为近似的自然表面。但事实上,通过大量实验证明电磁辐射与地表相互作用表现出明显的方向性特征。自然界大多数地表既不完全是粗糙朗伯表面,也不完全是光滑的“镜面”,而是介于两者之间的非朗伯表面。其反射并非各向同性,而具有明显的方向性,即方向反射。镜面反射也可认为是方向反射的一个特例。
2) 吸收
3) 透射(Transmission)
当电磁波入射到两种介质的分界面时,部份入射能穿越两介质的分界面的现象。称为透射。透射的能量穿越介质时,往往部分被介质吸收并转换成热能再发射。
介质透射能量的能力,用透射率τ来表示。它被定义为透过物体的电磁波强度(透射能)与入射能量之比。对同一物体,透射率是波长的函数。对于摄影遥感系统,胶片和滤光片的透射率是个十分关键的参数。自然界中,人们最熟悉的是水体的透射能力。这是因为人们可以直接观察到可见光谱段辐射能的透射现象。然而,可见光以外的透射,虽人眼看不见,但它是客观存在的,如植物叶子,对于可见光辐射是不透明的,但它能透射一定量的红外辐射。
(2)电磁辐射的发射
1)热辐射
热辐射是指辐射能的强弱和光谱成分决定于物体温度的辐射。任何物体只要其温度高于绝对温度0K(-273℃),都能发射电磁波,都有热辐射。太阳光相应于T-6000K时的辐射。
灼热物体的光谱成分与温度的关系

对于热辐射能,一般从三个方面研究:辐射源在单位时间内所发射的辐射能;辐射能在辐射波谱中的分布;辐射源所发射的辐射能的峰值波长。这三个方面的特征,既取决于物体的温度,也与物体本身的性质(物体的表面特征、物体的内部组成)有关。
2) 黑体辐射
● 黑体的基本概念
黑体指完全的辐射吸收体和完全的辐射发射体。即它吸收所有入射到它上面的辐射,同时在一切温度下发射最大的辐射。自然界中并不存在这种绝对的黑体。基尔霍夫1860年在研究真实物体的辐射时,引入一个理想物体的概念。由于黑体辐射不考虑目标性质只考虑目标温度,因此它就避开了具体物体而使问题简单化。在长波辐射研究中,常用黑体来讨论问题,并将其作为评价真实物体热辐射的一个计量标准。
● 黑体辐射的基本定律
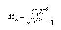
a) 普朗克(p1anck)定律
1900年普朗克用量子理论推导黑体辐射通量密度和其温度的关系以及按波长分布的规律,得出普遍适用于绝对黑体辐射的公式:


用普朗克公式可以求得任一波长不同温度下黑体的光谱辐射通量密度。
这一公式对遥感理论的重要意义在于它的普遍适用性,可以推导出以下的已经被实验证明的黑体辐射公式。
b) 斯忒潘-玻尔兹曼(Stefan-Boltzmann)定律
整个电磁波谱的总辐射出射度M为某一单位波长的辐射出射度Mλ对波长λ做0到无穷大的积分,即
,用普朗克公式对波长积分便导出斯忒潘-玻尔兹曼定律,即:绝对黑体的总辐射出射度与黑体温度的四次方成正比。

式中σ为斯忒潘-玻尔兹曼常数,为5.669`10-8瓦·米2·K-4
该定律是普朗克黑体辐射定律在某个侧面的深入和补充。定量地说明物体总的辐射通量密度只与温度有关。斯忒潘-玻尔兹曼定律表明:辐射通量密度与绝对温度的四次方成正比,故相当小的温度变化就会引起辐射通量密度的很大变化。红外遥感主要就是靠目标物的这种温度差异,利用红外探测仪器可测出0.01 ℃的变化。
c) 维恩(Wein)位移定律
微分普朗克公式,求出最大值,就得到维恩位移定律的表达式:

λmax为光谱辐射通量密度的峰值波长;c是常数,c=2897.8±0.4μm`K;T为绝对温度。
维恩定律表明:一个黑体的峰值辐射波长与它的绝对温度成反比。即随着温度的增加,其峰值辐射波长λmax向短波方向移动。
从下图中可以看出,黑体温度越高,其曲线的峰顶就越往左移,即往波长短的方向移动,这就是位移的含义。如温度为300K,即27 ℃时(该温度相当于一般地面的平均温度),其辐射通量密度的峰值波长为9.7微米;又如,太阳表面温度约为6000K,其辐射通量密度的峰值波长为0.48微米,为可见光的绿光波段。前者表现为热;后者表现为光。如果辐射最大值落在可见光波段,物体的颜色会随着温度的升高而变化。波长远渐变短,颜色由红外到红色再逐渐变蓝变紫。在遥感技术上,常用这种方法选择遥感器和确定对目标物进行热红外遥感的最佳波段。

不同温度的黑体辐射曲线
d) 基尔霍夫(Kirchhof)定律
在一给定温度下,辐射通量密度和吸收率之比,对任何材料都是一个常数,并等于该温度下黑体的辐射通量密度。

M’为真实物体的辐射通量密度。说明,好的吸收体也是好的发射体,即表明凡是吸收热辐射能力强的物体,它们的热发射能力也强;凡是吸收热辐射能力弱的物体,它们的热发射能力也就弱。
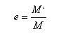
3) 实际物体的辐射
物体的发射本领即比辐射率或发射率用e 表示,它是真实物体的辐射通量密度M‘与同一温度的黑体辐射通量密度M的比值。

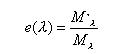
发射本领是物体性质的函数。为使用上的方便,引入光谱发射本领e(λ)的概念。

Mλ为真实物体的光谱出射率,Mλ为黑体的光谱出射率,对于大多数常见物体,在地面环境温度范围内,光谱发射本领几乎与温度无关。
根据光谱发射本领的变化规律,辐射源可以分为三种类型:
黑体: e (λ )= ε = 1;
灰体: ε为常数,其值介于0~1之间;
选择性辐射体: ε是变量,其值也介于0~1之间。当ε = 0时,为绝对白体。

三类发射体的发射本领(A.)与辐射通量密度(B.)
在同样温度下,黑体总的或任意光谱区的辐射通量,都比任何其它辐射源大。因此,黑体的光谱分布曲线是各种辐射源光谱分布曲线的包络线。灰体的发射本领是黑体的一个不变的分数。人、大地和空间背景等都可视为灰体。为了便于计算,选择性辐射体在有限的光谱区间内也可看成是灰体。
根据能量守恒原则,物体的发射率大,反射率就小;物体的发射率小,反射率必然大。这两个参数不仅是温度和波长的函数,而且与物体的性质有关。一般讲,物体表面比较粗糙或颜色较暗者,吸收强,而发射率高、反射率低;物体表面比较光滑或颜色较亮者,吸收弱,而发射率低,反射率高。
目前研究出新型电磁辐射传感器,由该传感器组成的宽频带多功能电磁辐射检测仪,不仅以数字和模拟两种方式实时显示电磁辐射值,还具有语音播报功能,其原理框图见图1.

圈1 电磁辐射检仪原理框圈
传感器原理与结构
首先由自行设计的天线阵把电磁辐射信号接收下来,然后由点接触型二极管完成检波,再经滤波网络、放大电路变成电压信号,其传感器组成原理框图见图

圈2 传感器原理框图