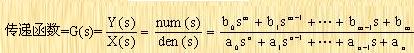
电子百科

1. 系统的传递函数是一种数学模型,它表示联系输出变量与输入变量的微分方程的一种运算方法.
2. 传递函数是系统本身的一种属性,它与输入量或驱动函数的大小和性质无关.
3. 传递函数包含联系输入量与输出量所必需的单位,但是它不提供有关系统物理结构的任何信息(许多物理上完全不同的系统,可以具有相同的传递函数,称之为相似系统).
4. 如果系统的传递函数已知,则可以针对各种不同形式的输入量研究系统的输出或响应,以便掌握系统的性质.
5. 如果不知道系统的传递函数,则可通过引入已知输入量并研究系统输出量的实验方法,确定系统的传递函数.系统的传递函数一旦被确定,就能对系统的动态特性进行充分描述,它不同于对系统的物理描述.
6. 用传递函数表示的常用连续系统有两种比较常用的数学模型,说明如下
第一种表示方式为:

第二种表示方式也叫零极点增益模型,具体形式为:

1、传递函数是一种数学模型,与系统的微分方程相对应。
2、是系统本身的一种属性,与输入量的大小和性质无关。
3、只适用于线性定常系统。
4、传递函数是单变量系统描述,外部描述。
5、传递函数是在零初始条件下定义的,不能反映在非零初始条件下系统的运动情况。
6、一般为复变量 S 的有理分式,即 n ≧ m。且所有的系数均为实数。
7、如果传递函数已知,则可针对各种不同形式的输入量研究系统的输出或响应。
8、如果传递函数未知,则可通过引入已知输入量并研究系统输出量的实验方法,确定系统的传递函数。
9、传递函数与脉冲响应函数一一对应,脉冲响应函数是指系统在单位脉冲输入量作用下的输出。
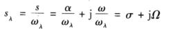
1.频率归一化
在设计滤波器的传递函数和研究滤波器的幅频特性近似问题时,为了简化计算,使计算规格化和通用化,通常采用频率归一化的处理方法。所谓频率归一化,是将传递函数复频率s=α十jω除以基准角频率ωλ,得到归一化复频率
对于低通、高通滤波器,一般采用截止角频率(1),作为基准角频率;对于带通、带阻滤波器,一般采用中心角频率00作为基准角频率。在用波特图描述滤波器的幅频特性时,通常横坐标用归一化频率Ω代替ω。
2.传递函数的幅度近似
在设计、研究滤波器时,通常是按通频带分类,分为低通滤波器、高通滤波器、带通滤波器、带阻滤波器。在这4种滤波器中,常将低通滤波器作为设计滤波器的基础,高通、带通、带阻滤波器传递函数可由低通滤波器传递函数转换过来,因此,低通原型传递函数的设计是其他传递函数设计的基础。
如图1所示为理想低通滤波器的幅频特性。但是这种理想的幅频特性不可能采用有限个元件组成的网络来实现,只能采用一个有理函数来近似实现。因此,需要对滤波器的幅频特性提出一个允许的变化范围,如通带增益波动范围、阻带必须达到的衰减、过渡带带宽和衰减特性等,如图2所示为幅度近似的低通幅频特性。寻找一个合适的有理函数来满足对滤波器幅频特性提出的要求,寻找这个合适的有理函数即是滤波器的幅度近似。

图1理想低通滤波器的幅频特性幅度近似的方式有两类。

图2 幅度近似的低通幅频特性
滤波器的幅度近似
①最平幅度近似,也称为泰勒近似,这种幅度近似用了泰勒级数,其幅频特性在近似范围内呈单调变化。
②等波纹近似9也称切比雪夫近似,这种幅度近似用了切比雪夫多项式,其幅频特性呈等幅波动。
在通带和阻带内可分别采用这两种幅度近似方式,组合起来有4种幅度近似的方法,并有4种滤波器,分别是:巴特沃思滤波器、切比雪夫滤波器、反切比雪夫滤波器和椭圆函数滤波器。如图3所示为这4种幅度近似低通滤波器的幅频特性曲线。

图3种幅度近似低通滤波器的幅频特性曲线
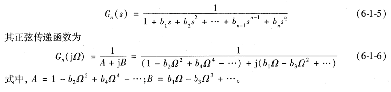
一个n阶低通滤波器,其频率归一化的传递函数通式为


式中,K2(Ω)=B1Ω2十B2Ω4+…+BnΩ2n为幅度近似方法的特征函数。采用不同的近似方法,Κ(Ω)为不同的多项式。
DAC传递函数
图1显示一个理想的DAC传递函数,它是一条斜线,y=mx+b。数字输入位于x轴,模拟输出位于y轴。

图1. 理想的DAC传递函数。
x轴上的目标范围是从左边的最小码(A)到右边的最大码(B)。y轴上的目标范围是从底部的最小输出值(C)到接近顶部的最大输出值(D)。定义理想传递函数的斜率(m)和y轴截距(b)的方程式用边界值A、B、C、D表示。信号g(t)代表一个无失真的正弦波,由A至B范围内的数字输入组成,时间轴向下。信号u(t)代表模拟输出,其值在C至D范围内,时间轴向右。
输出信号是通过传递函数反射的输入信号。请注意,输出信号是将g(t)上各点链接到u(t)上相应点的结果。图1显示在特定时间点t=tk的传递操作例子,该时间点确定输入信号上的点g(tk)。传递函数进而将g(tk)链接到输出信号上的相应点u(tk)。对于理想的线性传递函数,u(t)与g(t)成比例关系。请注意,g(tk)对应于x轴上的点xk,它通过传递函数反射至y轴上的点yk。借助关于耦合点集(g(tn),u(tn))的已有知识,可以确定传递函数上的相关点(xn,yn)。因此,通过输入信号g(t)上的点与输出信号u(t)上的点之间的关系,完全可定义传递函数。
对于N位DAC,边界值A和B取特定值,即A = 0且B = 2N–1。而为了方便起见,指定边界值C和D为C = A且D = B。这样意味实际DAC输出信号的比例和偏移,因而其峰峰值范围为0至2N–1。利用A、B、C、D的这些值,因为斜率m = 1且截距b = 0,所以理想传递函数可简化为y = x。
到目前为止,讨论的重点还是理想的DAC传递函数,但现在我们有了可以处理失真DAC传递函数f(x)的工具,如图2所示。需要注意的主要特点是:传递函数不再是直线y = x,而是一个形状函数f(x);图中随意以平滑弧形来表示。f(x)对输出函数u(t)的影响也同样重要。理想输入g(t)通过传递函数f(x)反射,产生失真输出u(t)。与现成DAC的传递函数相比,图中所示的弧形传递函数较为夸张,仅为加强说明效果而已。现代DAC的传递函数与理想的直线几乎没有偏差,但即使最微小的偏差也会导致输出频谱中出现谐波杂散。

图2. 失真的DAC传递函数。
能否成功重构DAC传递函数,取决于是否能通过已知的g(t)和u(t)确定各点(xk,f(xk))。这一过程分为两步:首先采用一个代表理想采样正弦波的数值序列驱动DAC输入,利用频谱分析仪测量DAC输出,并记录基波信号和尽可能多谐波成分的幅值;然后将测得的谐波幅值转换为特定形状的传递函数。如果操作得当,将g(t)代入f(x)仿真u(t)将产生与测量结果相同的谐波失真值。
第一步:测量DAC谐波
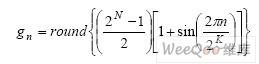
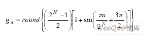
第一步需要一个输入序列,用来代表一个以等距时间间隔采样的理想正弦波周期。目标是重构DAC传递函数,因此从0到2N–1的每个DAC码必须在输入信号中至少出现一次。输入序列需要2N以上的采样点才能以等距间隔使用每个DAC码,实际上至少需要2N+3个采样才能保证每个码都出现。下式可产生2K DAC码的理想正弦序列(K ≥ N+3)。函数round{x}将x舍入为最近的整数。

其中n=0,1,2,3, ... 2K–1
此方程式假设DAC将标准二进制格式的数字输入字解码为0至2N–1范围内的无符号整数。对于偏移二进制或二进制补码DAC,必须调整gn以表示负值。
数值序列(gn)以采样速率fs重复提供给DAC,因此DAC输出频谱含有频率f0=fs/2k的基波信号。谐波出现在2f0、3f0、4f0和f0的其它整数倍。由于DAC输出频谱具有采样性质,因此这些谐波的幅度受sin(x)/x响应的限制。不过,f0与fs相比微不足道,因此sin(x)/x响应实际上是平坦的,可忽略不计。例如,对于一个8位DAC,K ≥ 11且f0 ≤ fs/2048,100次谐波的sin(x)/x将不超过0.39% (0.034 dB)。
为了准确重构传递函数f(x),需要根据谐波数(h)集尽可能记录更多谐波的幅值。这些整数从h = 1(基波频率)至h=H,其中H表示取测量幅值的最高谐波数。例如,对于10次谐波的测量,H = 10,该谐波数集为h={1, 2, 3, .. 10}。
然后,将各测量谐波的幅值(M)与其谐波数关联。例如,M1是1次谐波(基波)的幅值,M2是2次谐波的幅值,依此类推至MH。谐波幅值通常用相对于基波幅值的分贝数(dBc)来衡量。dBc转换为线性单位的公式如下:

其中D表示测得的谐波幅值,单位为dBc。例如,如果3次谐波的幅值为–40 dBc,则线性幅值M3 = 10–40/20或0.01。M1始终等于1,因为根据定义,基波的幅值为0 dBc。
第二步:重构DAC传递函数
该过程的第二步涉及到将谐波测量结果与传递函数相关。f(x)上的点取决于g(t)和u(t)上对应点之间的关系,因此首先必须将频域中的谐波幅值转换到时域。请注意,组成g(t)的DAC码与g(t)正弦形式的相关时间点一一对应。因此,构成g(t)的DAC码与时域相关。此外,u(t)通过f(x)与g(t)相关,而g(t)是一个时域函数,因此u(t)也必须表示为时域函数。这样就能将g(t)中的各时间点tk链接到u(t)中的相关时间点,从而由g(t)和u(t)确定f(x)。
将谐波幅值转换到时域非常困难,因为f(x)必须明确与g(t)中的各可能DAC码(0至2N–1)相关。g(t)是一个理想正弦波,因此确保唯一性的唯一方法是将范围限制在该正弦波单调增加的位置,如图3加粗部分所示。如果没有这一限制条件,f(x)上的一个点可能会映射到g(t)上的两个点,从而导致不明确。
为演示这种不定性,请想象将区间T向下移动。现在,f(x)上的点(xk, fkxk))可以与g(t)上的两个点相关,这是不可接受的。将范围T限制在图中所示位置,将不存在不定性。g(t)为正弦波,因此所需范围T对应于½周期,其初始相位偏移为3π/2弧度。

图3. f(x)与g(t)之间的关系。
g(t)的范围受T限制意味着u(t)也具有类似的范围限制。因此,将所记录的谐波幅值转换到时域时,必须确保将u(t)限制在与g(t)相同的范围T,如图4所示。

图4. g(t)和u(t)的时域范围。
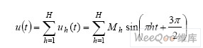
请注意,实际的时间范围T无关紧要,因为f(x)仅在g(t)和u(t)二者的幅值之间起转换作用。为简化分析,将基波频率(f0)归一化为1。因此,2次谐波的频率为2,3次谐波的频率为3,如此类推。所以,谐波频率与谐波数(h)相等:fh=h。这一便捷关系可简化从谐波测量结果Mh创建u(t)的数学计算。
正弦波的一般时域表达式为:

其中β为峰值振幅,θ为初始相位偏移。
用h代替f,并用Mh代替β,可以获得各谐波uh(t)的时域表达式。不过应记住,g(t)偏移3π/2弧度。此外,g(t)与u(t)之间通过f(x)关联意味着g(t)和u(t)在相位上是对准的。用3π/2代替θ可提供所需的对准。下式中,请注意0 ≤ t

利用各谐波uh(t)的时域表达式,便可以重构复合输出u(t),表示为基波和谐波信号的和:

如前所述,我们的目标是将g(t)与u(t)相关以重构DAC传递函数f(x)。此外,g(t)必须恰好由2N个样本组成,以便与f(x)上的点一一对应。因此,g(t)的样本计算公式为:

(n=0,1,2,3 .. 2N–1)
g(t)由2N个样本组成,因此由包括2N个采样的u(t)采样值集重构f(x)似乎是合理的。然而,事实却是至少需要2N+3个采样才能为较小的Mh值提供适当的精度。这种情况下,u(t)各采样点的计算公式应如下:

(n=0,1,2,3 .. 2N+3–1)
请注意,这将导致u(t)所含的采样数多于g(t),u(t)的多个样本可能与f(x)和g(t)上的一个点对应,从而使u(t)和g(t)到f(x)的映射关系复杂化。因此,必须对特定的样本组求平均值,以便提供到f(x)的合理映射。下面的伪代码反映了所需的映射关系,其中假设使用一个N位DAC,g(t)有2N个点,u(t)有2N+3个点。阵列DacXfr含有2N个元素,初始值均为0。执行该代码后,阵列DacXfr的元素包含归一化的DAC传递函数。
n = 0
FOR i = 0 TO 2N–1
AvgCnt = 0
WHILE i = g[n]
AvgCnt = AvgCnt + 1
DacXfr[i] = DacXfr[i] + u[n]
n = n + 1
IF n >= 2N+3
EXIT WHILE
END IF
END WHILE
IF AvgCnt = 0
EXIT (fail because array, g[ ], is missing a DAC code)
END IF
DacXfr[i] = (DacXfr[i]/AvgCnt)/2N
END FOR
验证
为验证本文所述的方法,使用一台频谱分析仪来测量一个14位DAC的输出;该DAC由一个代表理想正弦波的输入序列驱动。记录了前14次谐波的幅值(2次到15次,单位dBc),并利用这些值重构DAC传递函数f(x)。然后,将理想正弦输入序列g(t)代入重构的DAC传递函数f(x)进行模拟,产生一个输出序列。一个FFT将u(t)转换为频域等效值U(ω)。从U(ω)提取谐波幅值,并将其与频谱分析仪的测量结果相比较,如表1所示。请注意,与7次谐波相关的最大误差仅为0.065 dB。

由于比例关系,重构传递函数的图形呈现为一条直线(y = x)。事实上,该传递函数与y = x的偏差足以产生表1所示的谐波成分。为帮助理解,图5仅显示了该传递函数与理想直线的偏差。垂直轴的单位为LSB。

图5. DAC传递函数的残差。