精密二极管
精密二极管的使用
-
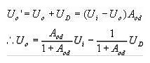
精密二极管是一种可以对二极管的结电压影响实行主动补偿的有源电路,图中

给出了一个简单的精密二极管检波电路;精密二极管主要由检波二极管、高速运算放大器和外围电路元件所构成,通过运算放大器的虚地效应自动补偿检波二极管结电压的影响,使得其输出特性近似于理想二极管;因此在检波过程中,从整体上看信号在通过精密二极管时峰值电压没有损耗,即精密二极管在一定程度上起到理想二极管的作用。利用精密二极管可以大幅度地提高检波效率,在精密二极管的通频带内检波效率接近100%;利用精密二极管还可以方便地将交流信号的幅度逼真地转换为直流信号,便于进行精确测量,达到智能检测的目的,例如:精密二极管与压控振荡器、计算机数据采集系统结合在一起可方便地构成一台智能频率特性测试仪(扫频仪)。另外,由于受到运算放大器带宽增益积的限制,精密二极管的检波频率一般要小于运算放大器带宽的1/500,否则运算放大器的非理想性会增大,从而造成检波效率大幅度下降甚至无法检波,这是精密二极管的一个主要缺陷,在设计和使用精密二极管检波器时应加以注意。
精密二极管的性能参数
-
常见精密二极管的性能参数:
型号 HW14 工作温度范围(°C) -50~+125 动态电阻(Ω)4.5 470
型号 HW15 工作温度范围(°C) 0~+125 10 动态电阻(Ω)900
型号 HW16 工作温度范围(°C) -50~+125 5 动态电阻(Ω)450
型号 HW17 工作温度范围(°C) 0~+350 3.9 动态电阻(Ω)470
提问者:jfsdwer
地点:-
浏览次数:6303
提问时间:04-14 13:43
我有更好的答案