电子百科

现在市面上仍然不能买到忆阻器。但是,考虑到忆阻器历经多年,直至今年才被认可——以前理论中的第四种基本电路,被HP实验室研究员最终证明了其在现实中存在之后,此技术可谓是一夜成名。

图中为一个由17个忆阻器列成一排而组成的简单电路,其中每个忆阻器有一个底部导线,其与器件的一端相连;还有一个顶部导线,其与器件的另一端相连。
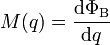
在忆阻器中,磁通量(ΦB)受到累积的电荷(q)所影响。磁通量按电荷的改变率称之为“忆阻值”:

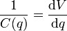
故此忆阻值可以与其余三种基本的电子元件作出比较:
电阻:
电感:
电容:
当中q是电荷;I是电流;V是电压;而ΦB则是磁通量。
根据法拉第电磁感应定律及复合函数求导法则,可见忆阻器的电压V是与电流I及忆阻值的积有关:

由此可见,忆阻器可以成为一个电阻器。但是“电阻”的M(q)会随累积的电荷而改变。忆阻值可以说是随流经忆阻器的电流历史所改变,彷如在电容器的电压一般。
惠普曾展示了自己在Memristor(记忆电阻,简称忆阻)技术方面的进展,这种技术采用了新的架构,可以同时处理逻辑运算和存储任务。忆阻技术的推动者,同时也是惠普的高级研究人员兼惠普信息和量子系统实验室主任斯坦·威廉斯(Stan Williams)宣称,这种全新的运算典范可以在同一颗芯片中存储数据的地方执行计算功能,而不会是专门设计的CPU。

惠普公司同时还透露他们目前已经设计出了允许多层忆阻状态逻辑的堆栈架构,以此可以增加存储密度。在许多分析师来看,无论是在IT行业的繁荣时期或者是在对芯片行业的发展有阻碍的经济衰退的时期,忆阻器的研究都会令很多担心摩尔定律失效的人们重拾信心。如今,惠普的研究院依然在探索将忆阻架构应用于未来的服务器和构建数据中心的方法,因为数据量的成倍增长已经成为了一种资产管理上的问题。
惠普实验室Exascale数据中心的主研究员Partha Ranganathan表示,“必须对计算机、存储以及通讯间的平衡性问题进行重新考虑,否则将会产生重大的影响”。
致力于研究忆阻技术的研究员正试图用一种新的名为“Nanostore”的芯片重新构建起核心系统元件间的平衡。从架构角度来看,“Nanostore”只是一种连接到非易失性随机访问存储器(Non-Volatile Random Access Memory)的处理核心的3D Stack内存。这种新的处理器存储器被设计在进行数据交换的单元之中,而非CPU中。

随着全新的“状态逻辑(Stateful Logic)”模式的产生,以CPU作为“大脑”的计算机系统将向着以数据本身作为系统的中心(基于Nanostore概念)来转变。惠普实验室目前已经找到了用相同的能源成本达成十倍性能系数的设计方法,Partha Ranganathan表示,“这是对3D Stack内存和忆阻器的早期工作,同时我们确定可以获得更好的性能系数”。
Ranganathan同时还表示Nanostore的相关产品用于商业用途要经过5年的时间。他和惠普实验室的其他研究员将在今年晚些时候就最初关于Nanostore的讨论定稿,同时还包括一款新的低电压处理器“Microblade”。惠普实验室目前已经确定了三款不同的服务器,可以根据不同的负载情况进行相应的优化。在能源比例设计中,服务器性能会根据应用程序的需要进行相应的调整。在综合设计中,多任务将被封装到一个系统当中。对于Microblade的设计,每个任务将被分配到高度并行化的处理体系当中,这可以由多个低功耗处理器来完成(比如ARM和英特尔Atom芯片)。这种设计常见于高性能计算(HPC)领域当中,名为“Physicalization”,换句话说,就是采用大量的价格低廉、功耗更低的处理器去作为构建高密集型计算的节点。

当然,Microblade采用的低功耗处理器的数量也是会受到算法如何划分整个任务的能力的限制。在最近的一片来自ArsTechnica的由Jon Stokes撰写的文章中,他指出结合服务器芯片的高利润以及硬件的整体组织结构,可以开放简化的、便宜的解决方案比如ARM以及英特尔的Atom系列。
此外,他也对于英特尔针对高性能计算市场推出的MIC(集成众核)服务器架构进行了相应的评估,但是对于是否MIC将会成为未来主打的高并行化、低功耗的数据中心解决方来这个问题,在惠普批量生产采用忆阻技术的Nanostore之前还不能下定论。