电子百科

气体敏感元件,大多是以金属氧化物半导体为基础材料。当被测气体在该半导体表面吸附后,引起其电学特性(例如电导率)发生变化。目前流行的定性模型是:原子价控制模型、表面电荷层模型、晶粒间界势垒模型。
1、半导体气敏元件的特性参数
(1)气敏元件的电阻值
将电阻型气敏元件在常温下洁净空气中的电阻值,称为气敏元件(电阻型)的固有电阻值,表示为Ra。一般其固有电阻值在(103~105)Ω范围。
测定固有电阻值Ra时, 要求必须在洁净空气环境中进行。由于经济地理环境的差异,各地区空气中含有的气体成分差别较大,即使对于同一气敏元件,在温度相同的条件下,在不同地区进行测定,其固有电阻值也都将出现差别。因此,必须在洁净的空气环境中进行测量。
(2)气敏元件的灵敏度
是表征气敏元件对于被测气体的敏感程度的指标。它表示气体敏感元件的电参量(如电阻型气敏元件的电阻值)与被测气体浓度之间的依从关系。表示方法有三种
(a)电阻比灵敏度K
(b)气体分离度
RC1—气敏元件在浓度为Cc的被测气体中的阻值:
RC2—气敏元件在浓度为C2的被测气体中的阻值。通常,C1>C2。
(c)输出电压比灵敏度KV
Va:气敏元件在洁净空气中工作时,负载电阻上的电压输出;
Vg:气敏元件在规定浓度被测气体中工作时,负载电阻的电压输出
(3)气敏元件的分辨率
表示气敏元件对被测气体的识别(选择)以及对干扰气体的抑制能力。气敏元件分辨率S表示为
Va—气敏元件在洁净空气中工作时,负载电阻上的输出电压;Vg—气敏元件在规定浓度被测气体中工作时,负载电阻上的电压
Vgi—气敏元件在i种气体浓度为规定值中工作时,负载电阻的电压
(4)气敏元件的响应时间
表示在工作温度下,气敏元件对被测气体的响应速度。一般从气敏元件与一定浓度的被测气体接触时开始计时,直到气敏元件的阻值达到在此浓度下的稳定电阻值的63%时为止,所需时间称为气敏元件在此浓度下的被测气体中的响应时间,通常用符号tr表示。
(5)气敏元件的加热电阻和加热功率
气敏元件一般工作在200℃以上高温。为气敏元件提供必要工作温度的加热电路的电阻(指加热器的电阻值)称为加热电阻,用RH表示。直热式的加热电阻值一般小于5Ω;旁热式的加热电阻大于20Ω。气敏元件正常工作所需的加热电路功率,称为加热功率,用PH表示。一般在(0.5~2.0)W范围。
(6)气敏元件的恢复时间
表示在工作温度下,被测气体由该元件上解吸的速度,一般从气敏元件脱离被测气体时开始计时,直到其阻值恢复到在洁净空气中阻值的63%时所需时间。
2、烧结型SnO2气敏元件
SnO2系列气敏元件有烧结型、薄膜型和厚膜型三种。烧结型应用最广泛性。
其敏感体用粒径很小(平均粒径≤1μm)的SnO2粉体为基本材料,根据需要添加不同的添加剂,混合均匀作为原料。主要用于检测可燃的还原性气体,其工作温度约300℃。根据加热方式,分为直接加热式和旁热式两种。
(1)直接加热式SnO2气敏元件(直热式气敏元件)
由芯片(敏感体和加热器),基座和金属防爆网罩三部分组成。因其热容量小、稳定性差,测量电路与加热电路间易相互干扰,加热器与SnO2基体间由于热膨胀系数的差异而导致接触不良,造成元件的失效,现已很少使用。
2)旁热式SnO2气敏元件
旁热式气敏器件结构及符号
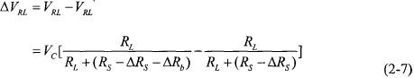
气敏传感器在测量中受环境温湿度变化的影响很大,不考虑温湿度变化因素会给测量带来较大误差。图2-3说明了环境温湿度变化给测量带来的影响。
图中Rs为乙醇气敏传感器敏感元件的电阻值,-△Rs为气敏传感器正常工作时待测气体浓度导致敏感元件的电阻值的变化值,-△Rb为气敏传感器受到诸如温度、湿度等环境因素影响导致的电阻值的变化值;
是采样电阻,一般选用金属膜电阻,温湿度等环境变化对它的影响很小。此外,采样电阻
本身产生的温度影响可以忽略不计。 来源:东海仪表网

根据电路原理,图2-3中取样电阻凡在有环境干扰和理想无干扰情况下的输出电压
和
分别为:

其中,Vc为电路供电电压,一般为±5V。将2-5和2-6两式相减,可以得到由于环境变化导致的输出误差,即
对2-7式进行因式分解并化简可得
![]()
由2-8式可知,由于环境因素对乙醇气敏传感器的影响,采用标准的气敏传感器取样电路进行电压信号提取将会导致采集的信号出现误差。尤其是在环境温湿度波动比较大(△Rb较大)的情况下,这种误差会变得很大。
实际上,得益于现代制作工艺的发展以及各种更高性能的敏感材料的应用,气敏传感器的检测精度已经获得了很大提高,环境温湿度变化对测量的影响己经得到了很大的改善。但是正如上文分析的那样,环境因素的干扰,仍是制约乙醇气敏传感器测量精度的一个重要的因素。
如图2-4是TGS2620乙醇气敏传感器的温湿度特性,其中Ro是20℃湿度为65[%]条件下的传感器敏感元件的电阻值,Rs为300ppm乙醇气体浓度条件下传感器敏感元件电阻值。

从图中可以看到,尽管在气敏传感器生产过程中采用了很多先进的制作工艺,采取了各种措施来提高传感器稳定性,但是环境温湿度变化影响仍旧是导致传感器产生测量一误差的一个重要因素。有效降低甚至避免温湿度影响,是气体检测应用中需要特别注意的问题。
为了克服环境温湿度变化对测量的影响,人们采取在原有测量电路上与负载电阻串联热敏电阻和湿敏电阻的方法来补偿由于环境温湿度变化引入的误差。这种方法在一定程度上克服了环境温湿度变化对测量带来的干扰,但在具体应用中却很难找到和气敏传感器敏感元件温湿度效应相匹配的热敏和湿敏电阻。因此,采用串并联热湿敏电阻的补偿方法其效果很有限。
同样是基于串联热湿敏电阻来补偿环境变化影响的思路。采用两支同型号的乙醇气敏传感器,一支用来检测待测气体,另一支作为负载电阻并与待测气体隔离,使之不受待测气体的影响,而只受环境因素的影响。同型号的乙醇气敏传感器具有相同的热湿敏特性,当环境温湿度变化导致传感器气敏元件的电阻值产生变化时,作为负载电阻的传感器的敏感元件电阻值也会发生相应的变化,从而补偿了由于环境变化对测量带来的干扰。
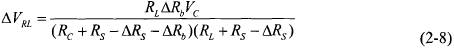
使用同型号的气敏传感器作为负载电阻,如图2-5所示。-△Rb是检测传感器与补偿传感器受温湿度等环境干扰影响导致的敏感元件电阻值的变化值。由于用于补偿的传感器敏感元件接触被测气体后同样会产生电阻值变化,因此需要设法使补偿传感器与被测气体隔绝而只感受环境的变化。

根据电路原理,采用补偿传感器方法的负载输出电压为

则由于环境干扰而引入的输出误差为

式中,△RL'为理想情况下,补偿传感器在无干扰影响下的电压输出值;
为有干扰情况下的输出值。对2-10式进行化简,可得
![]()
在实际应用中,如果所检测的气体浓度不是很高,则气敏传感器的变化将远远小于敏感元件的电阻值,即△Rs
在实际使用中,每种气敏传感器对于负载电阻都有一定的取值范围要求,例如TGS2620要求负载电阻RL的取值最低为450Ω,为了符合要求,一般还要在测量电路中串接一个电阻,这个电阻同时可以起到传感器过电流保护的作用,这个电阻应尽可能选择温湿敏特性比较稳定的电阻以减小温湿度变化带来的测量误差。
引言
人的嗅觉系统的性能是相当出色的。过去几十年人们对嗅觉过程的认识迅速增加,但是目前的成果还少于人们的期望值。利用气体在电极上的氧化-还原反应研制的第一个气敏传感器是由Wikens和Hatman在1964年报道的。Buck等人利用气体调制电导和Dravieks等人利用气体调制电位研制的气敏传感器在1965年也做了报道,1982年英国 Warwick大学的Persaud 等人提出了利用气敏传感器模拟动物嗅觉系统的结构。气敏传感器是一种对于某种气体敏感的化学传感器,它能随着外部气体的浓度或者气体的种类的不同而改变敏感膜的电阻。现在的气体检测中使用的是气敏传感器绘图仪对传感器的电压信号直接绘制,由于绘图仪的动态跟随性差、反应速度慢、缺乏灵活性、测量精度低等缺点,难以画出高频率高精度的气敏传感器的时间电压曲线。对于气敏传感器的动态测试,绘图仪根本无法达到要求。本文根据气敏传感器的性质研究开发了利用RS232与计算机建立连接的气敏传感器信号采集,以此提高气敏传感器信号采集的精度和试验的人工效率。
1、气敏传感器工作原理及其控制任务
1.1 气敏传感器工作原理
从材料上分,最常用的气敏传感器有金属氧化物,高分子聚合物材料,压电材料,胶体敏感膜等;从用途上分有广普型和专一型。根据试验需要选择气敏传感器,本测量系统能够适用于所有气敏传感器。
气敏传感器的两个关键部分是加热电阻和气体敏感膜。加热电阻改变传感器的工作温度, 使其工作在气体敏感的工作温度,由于外部气体的变化从而使得气敏传感器的敏感材料的电阻发生变化,金电极连接气敏材料的两端,使得它成为一个阻值随外部气体变化的电阻。
气敏传感器的结构与测试原理如图1所示。

1.2 控制任务
根据气敏传感器的特性设计采集任务,传感器的温度要求在250℃左右(或更高),在此温度下气体表现出很高的灵敏度 [2]。鉴于传感器气敏阻值的不确定性,取样电阻的阻值应与气敏电阻(气敏材料的阻值变化在15倍以内)的阻值相匹配。取样电阻和加热电压是由计算机控制,加热电阻 Ro的功率要求在0.3~1.5W之间,R o的值在30W左右,所以可知Ro的电压值在1~7V之间。加热电阻的温度与加热电压的大小近似成线性关系,通过加大电压来提高温度,以选择一个适合于气体测试的温度(通常选用5V的加热电压),如果是动态测量则是使加热电压为一个矩形波,占空比可以由软件设定。
取样电阻要求为一个离散值,它们可为1k, 2k,5k,10k。就气敏传感器自身特性而言,它可分为几个档次,其气敏膜的电阻是不恒定的。文中以气敏膜电阻值在空气中为10kW到有待测气体中其阻值变化到1kW为标准介绍此系统的设计,其中测试电压为一个固定值,它的精度影响到信号电压。在实际试验中选定测试电压值为5V,要求测得测试信号的值(电压)由获取的采样信号可以在计算机内快速地计算出所需要测量的气敏传感器电阻(一般而言只需要直接看电压的变化值),从而描绘出气敏传感器的阻值随外界气体变化的波形图。
2、气敏传感器信号采样与控制电路
通过计算机来控制测试装置能使得整个测试过程变得更简单和更精确。
2.1 采样周期的确定
采样周期Ts决定了采样信号的质量和数量: Ts太小,会使采样信号xs (nTs)的数量剧增,占有大量的内存单元; Ts太大,会使采样点之间相距太远,模拟信号的某些信息丢失,会使采样后的信号恢复为原来的信号时产生信号失真。因此,选择合适地采样保持器直接关系到信号的真实性,当连续信号下X(t)的频谱X(f )为有限频谱且Ts
2.2 芯片的选择
为了克服由于气敏传感器在制造中其阻值 Rs不固定的特点,采样前,采样电阻的值应根据气敏传感器的值来调节,以确保得到的信号在测量范围之内。同时考虑信号的值与采集电压相匹配,信号电压若低于采样电压太大则影响测量的精度。测试电压V c为5V,ADC采用12位相对分辨率0.0244[%](1LSB),ADC的分辨率为1.22mV(1LSB)。
Vout=[Vc/(R c+Rs)]×Rc
根据气敏传感器选择为10k到1k档而选择 Rc为5k的取样电阻,可得到信号电压V out的值在1.666~4.166V。
使用模数转换芯片实现气敏传感器信号的采集,选取以下芯片制作单片机控制电路。
(1) ADC:外部的测试信号是模拟量,先进行模/数转化。选取ADC1678芯片,它的分辨率是12位,转换时间是5ms,转换误差小于1LSB,输出电平为TTL电平,不需要外部时钟和基准电压,工作电压为+5V或±12V。它的最大的优点是自带有采样保持器;
(2)多路模拟开关:选择所需的取样电阻。 AD7502芯片采用16脚双列直插封式封装,是一种双4通道多路开关芯片,依据二位二进制地址线 A0、A1及选通断(EN)的状态来选择8路输入的两路,分别与两个输出端相接通;
(3) 单片机:集成了1个8位中央处理器;4kB的只读存储器;128的读写存储器;32条I/O口线; 2个定时器/事件计数器;1个具有5个中断器、4个优先级的嵌套中断结构;用于多处理器通信、I /O拓展或全双工UART(通用异步接受发送器)的串行I/O口以及一个内振荡器和时钟电路。单片机控制着测试电路的各个部分,建立计算机与单片机的联系就可实现计算机对外部的控制。
2.3 通信接口的设计
IBM-PC机与单片机的连接采用零调制三线型,即只需用RDX、TXD和地线三线连接PC机和单片机。鉴于单片机的串口是一个标准的TTL电平接口(3.8~5V表示"1",0~0.3V表示"0"),而PC机配置的是RS232标准串行口,二者的电器规则不一致,因此要完成单片机到PC机的通信问题必须首先解决电平的转换问题。
单片机通过T C232CPE芯片连接计算机, 一片TC232CPE只需一个+5V电源供电,即可解决两组信号电平转换。该芯片内部可自动产生RS232C所需要的逻辑电平,可实现单片机与IBM-PC机的接口直接连接。IBM-PC机的RS232接口是通用异步发送/接收8250UART为核心构成的,PC机的BIOS中提供了专门用于串行通信的中断调用。
采用光电隔离器将电压隔离,防止高电压对低电压和数字电压产生影响。
计算机和单片机的数据采集的系统如图2所示。

3、软件设计
在单片机中使用MICRO-C51编译器,8051C语言编译器经济实用、编译速度快,按照标准的UNIX C语言编译语法设计,提供多种函数库供程序设计使用,提供嵌套注释、可嵌入汇编语言,可以用C语言设计中断程序[4]。

使用Delphi6建立串行通信程序及组件, Delphi调用 Windows API函数来建立通信机制。表1是所使用的API函数,使用Delphi调用API函数建立计算机与COM口的通信。源程序在uses区段中加入Windows。
4、结论
图3是传感器在200PPM乙酰甲胺磷与200PPM 敌百虫1:1混合下测试的动态特征图谱。它记录了测试点到结束点的整个过程的电压变化,对于分析气敏传感器的气氛环境起了重要的作用。

实验结果证明,计算机数据采集的输出动态响应高,能灵敏地反应出外界气体的变化,达到了气敏传感器绘图仪无法达到的动态特性,在多传感器的测量上可以比较同一时间的气敏传感器各个信号值。