燃气调压器
间接作用式调压器
-
它由主调压器、指挥器和排气阀组成。当出口压力p2低于给定值时,指挥器的薄膜就下降,使指挥器阀门开启,经节流后压力为p3的燃气补充到主调压器的膜下空间。由于p3大于p2,使主调压器阀门开大,流量增加,p2恢复到给定值。反之,当p2超过给定值时,指挥器薄膜上升,使阀门关闭。同时,由于作用在排气阀薄膜下侧的力使排气阀开启,一部分压力为p3的燃气排入大气,使主调压器薄膜下侧的力减小,又由于p2偏大,故使主调压器的阀门关小,p2也即恢复到给定值。燃气储配站、区域调压站和大型用户专用调压站,基本上都采用间接作用式调压器。我国使用液化石油气的热水器和煤气灶安全使用的燃气压力均为2800Pa,瓶装液化石油气钢瓶内煤气压力一般有4kg,通过钢瓶前的减压阀将煤气压力降到0.028kg(即2800Pa)后供热水器或煤气灶使用。
燃气调压器薄膜结构对调节特性的影响
-
薄膜在燃气调压器中的作用是作为敏感元件感测燃气压力的变化,并将其与给定值比较,从而驱动执行机构,带动调节机构调节燃气调压器的出口压力。燃气调压器主体中的薄膜结构根据薄膜的数量可分为单薄膜结构和双薄膜结构两种;
1 单薄膜结构压力特性
单薄膜燃气调压器的结构一般如图1所示,图中P0为薄膜上方腔体内空气压力,单位为Pa,取大气压。阀杆受力平衡关系式为:
p1A1+G+Ks=p2A1+p21A2 (1)式中:p1——调压器入口燃气压力,Pa;

图1 单薄膜结构
A1——阀瓣受力面积,简化取阀口面积,m2;
G——活动组件总重量,N;
K——弹簧刚度,N/mm;
s——弹簧压缩量,mm;
p2——调压器出口燃气压力,Pa;
P21——薄膜下方腔体内燃气压力,Pa;取p21与p2相等;
A2——主薄膜有效面积[1],m2。
当p1波动Δp1时,假定阀杆在不移动的条件下能保持平衡[2],引起p2的波动Δp2应满足下式:(p1+Δp1)A1+G+Ks=(p2+Δp2)(A1+A2) (2)
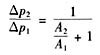
式(2)与式(1)两边相减得:Δp1A1=Δp2(A1+A2) 即

虽然薄膜有效面积A2远远大于阀口面积A1,上式中Δp2/Δp1为一较小的数,但由于燃气入口压力p1通常远远高于燃气出口压力p2,所以人口压力波动对出口压力的影响仍会很大。这是因为单薄膜结构对于入口压力波动的影响没有消除,是通过入口压力波动引起的出门压力变化再进行调节,降低了调节的效率和精度。
2 双薄膜结构压力特性
为减小入口压力波动对出口压力的影响,可采用双薄膜的结构,即在燃气人口增加一个平衡薄膜,结构如图2所示。

图2 双薄膜结构
此时阀杆的受力平衡关系式变为:
p1A1+p21A3+G+Ks=p2A1+p21A2+p1A3
同样取p21=p2,整理得:
p1(A1-A3)+G+Ks=p2(A1+A2-A3) (3) 式中:A3——平衡薄膜的有效面积,m2。
此时,若p1波动Δp1,仍设在阀杆不移动时引起p2波动Δp2,则有:
(p1+Δp1)(A1-A3)+G+Ks=(p2+Δp2)(A1+A2-A3) (4) 式(4)与式(3)两边相减得:
Δp1(A1-A3)=Δp2(A1+A2-A3) 整理得:

对于双薄膜结构,由上式可以得出这样的结论:平衡薄膜的有效面积与阀口面积相差越小、主薄膜的有效面积越大,在入口燃气压力波动出现后,出口压力的波动越小。
以上分析是在阀杆平衡不被打破的条件下进行的,实际上当p1,p2波动时,阀杆的受力平衡将被打破,在燃气压力和弹簧弹力的综合作用下,阀杆将移动,弹簧压缩量s将发生变化,进一步影响p2,直至在新的条件下重新建立平衡。
3 单薄膜结构和双薄膜结构流量特性
虽然双薄膜结构对于降低入口压力波动对出口压力的影响很有效,但由于平衡薄膜抵消了一部分出口压力作用于主薄膜上的力,所以这种结构对于调节用户流量改变引起出口压力变化的能力有所下降。
例如当入口压力p1不变,输出流量q1增加Δqv时,使出口压力p2下降Δp2,弹簧压缩量s减少Δs。
对于单薄膜结构,阀杆受力平衡关系式由式(1)变为:p1A1+G+K(s-Δs)=(p2-Δp2)(A1+A2) (5) 式(5)与式(1)两边相减得:

为简化计算,假定阀瓣位移量与流量变化成线性关系,即:Δs=ηΔqv (6) 式中:η——系数。
则:

对于双薄膜结构,阀瓣的受力平衡关系式由式(3)变为:p1(A1-A3)+G+K(s-Δs)=(p1-Δp2)(A1+A2-A3) (8) 式(8)与式(3)两边相减得:

同理,将式(6)代入上式得:

由式(7)与式(9)可看出:双薄膜结构因用户流量改变引起出口压力的变化增加,使双薄膜结构的调节能力有所下降,但下降程度不大。
对于双薄膜结构可得出结论:主薄膜的有效面积越大,弹簧的刚度越小,在用户流量改变时,出口压力的波动越小。
4 结 论
双薄膜结构具有更好的压力调节特性,但流量调节特性略有削弱。通过减小平衡薄膜的有效面积与阀口面积的差,加大主薄膜的有效面积,减小弹簧的刚度,可以获得优良的调节效果。当然,主薄膜的有效面积要受到安装尺寸的限制,不能过大;弹簧的刚度不能过小,否则不能在有效的压缩范围内稳定地工作。
提问者:ncsan
地点:-
浏览次数:3694
提问时间:06-25 11:08
我有更好的答案