电子百科

一、前言
1978 年加拿大渥太华通信研究中心的K·O·Hill等人首次在掺锗石英光纤中发现光纤的光敏效应,并采用驻波写入法制成世界上第一根光纤光栅。19*,美 国联合技术研究中心的G·Meltz等人实现了光纤Bragg光栅(FBG)的UV激光侧面写入技术,使光纤光栅的制作技术实现了突破性进展。随着光纤光 栅制造技术的不断完善,其应用的成果日益增多,从光纤通信、光纤传感到光计算和光信息处理的整个领域都将由于光纤光栅的实用化而发生革命性的变化,光纤光 栅技术是光纤技术中继掺铒光纤放大器(EDFA)技术之后的又一重大技术突破。
光纤光栅是利用光纤中的光敏性制成的。所谓光纤中的光敏性是指激光通过掺杂光纤时,光纤的折射率将随光强的空间分布发生相应变化的特性。而在纤芯内形成的空 间相位光栅,其实质就是在纤芯内形成一个窄带的(透射或反射)滤波器或反射镜。利用这一特性可制造出许多性能独特的光纤器件,它们都具有反射带宽范围大、 附加损耗小、体积小,易与光纤耦合,可与其它光器件兼容成一体,不受环境尘埃影响等一系列优异性能。
光纤光栅的种类很多,主要分两大类:一是Bragg光栅(也称为反射或短周期光栅),二是透射光栅(也称为长周期光栅)。光纤光栅从结构上可分为周期性结构 和非周期性结构,从功能上还可分为滤波型光栅和色散补偿型光栅;其中,色散补偿型光栅是非周期光栅,又称为啁啾光栅(chirp光栅)。目前光纤光栅的应 用主要集中在光纤通信领域和光纤传感器领域。
在 光纤传感器领域,光纤光栅传感器的应用前景十分广阔。由于光纤光栅传感器具有抗电磁干扰、尺寸小(标准裸光纤为125um)、重量轻、耐温性好(工作温度 上限可达400℃~600℃)、复用能力强、传输距离远(传感器到解调端可达几公里)、耐腐蚀、高灵敏度、无源器件、易形变等优点,早在1988年就成功 地应用在航空、航天领域中作为有效的无损检测当中,同时光纤光栅传感器还可应用于化学医药、材料工业、水利电力、船舶、煤矿等各个领域,以及在土木工程领域中(如建筑物、桥梁、水坝、管线、隧道、容器、高速公路、机场跑道等)的混凝土组件和结构中测定结构的完整性和内部应变状态,从而建立灵巧结构,并进一步实现智能建筑。
二、光纤光栅传感器的工作原理
我们知道,光栅的Bragg波长lB由下式决定:
lB=2nL (1)
式中,n—芯模有效折射率; L—光栅周期。
当光纤光栅所处环境的温度、应力、应变或其它物理量发生变化时,光栅的周期或纤芯折射率将发生变化,从而使反射光的波长发生变化,通过测量物理量变化前后 反射光波长的变化,就可以获得待测物理量的变化情况。如利用磁场诱导的左右旋极化波的折射率变化不同,可实现对磁场的直接测量。此外,通过特定的技术,还 可实现对应力和温度的分别测量和同时测量。通过在光栅上涂敷特定的功能材料(如压电材料),对电场等物理量的间接测量也能实现。
1、啁啾光纤光栅传感器的工作原理
上面介绍的光栅传感器系统,光栅的几何结构是均匀的,对单参数的定点测量很有效,但在需要同时测量应变和温度或者测量应变或温度沿光栅长度的分布时就显得力不从心。此时,采用啁啾光纤光栅传感器就就是一个不错的选择。
啁啾光纤光栅由于其优异的色散补偿能力而应用在高比特远程通信系统中。与光纤Bragg光栅传感器的工作原理基本相同,在外界物理量的作用下,啁啾光纤光栅除了DlB的变化外,光谱的展宽也会发生变化。这种传感器在应变和温度均存在的场合是非常有用的。由于应变的影响,啁啾光纤光栅反射信号会拓宽,峰值波长也会发生位移,而温度的变化则由于折射率的温度依赖性(dn/dT),仅会影响重心的位置。因此通过同时测量光谱位移和展宽,就可以同时测量应变和温度。
2、长周期光纤光栅(LPG)传感器的工作原理
长周期光纤光栅(LPG)的周期一般认为有数百微米,它在特定的波长上可把纤芯的光耦合进包层,其公式如下:
li=(n0- niclad)·L (2)
式中,n0—纤芯的折射率;niclad—i阶轴对称包层模的有效折射率。
光在包层中将由于包层/空气界面的损耗而迅速衰减,留下一串损耗带。一个独立的LPG可能在一个很宽的波长范围上有许多的共振,其共振的中心波长主要取决于芯和包层的折射率差,由应变、温度或外部折射率变化而产生的任何变化都能在共振中产生大的波长位移,通过检测Dli,就可获得外界物理量变化的信息。LPG在给定波长上共振带的响应通常有不同的幅度,因而适用于构建多参数传感器。
三、光纤光栅传感器的应用
1、在地球动力学中的应用
在地震检测等地球动力学领域中,地表骤变等现象的原理及其危险性的估定和预测是非常复杂的,而火山区的应力和温度变化是目前为止能够揭示火山活动性及其关 键活动范围演变的最有效手段心。光纤光栅传感器在这一领域中的应用主要是在岩石变形、垂直震波的检测以及作为地形检波器和光学地震仪使用等方面。活动区的 应变通常包含静态和动态两种,静态应变(包括由火山产生的静态变形等)一般都定位于与地质变形源很近的距离,而以震源的震波为代表的动态应变则能够在与震 源较远的地球周边环境中检测到。为了得到相当准确的震源或火山源的位置,更好地描述源区的几何形状和演变情况,需要使用密集排列的应力-应变测量仪。光纤 光栅传感器是能实现远距离和密集排列复用传感的宽带、高网络化传感器,符合地震检测等的要求,因此它在地球动力学领域中无疑具有较大的潜在用途。有报道指 出,光纤光栅传感器已成功检测了频率为0.1Hz~2Hz,大小为10-9 e的岩石和地表动态应变。
2、在航天器及船舶中的应用
先进的复合材料抗疲劳、抗腐蚀性能较好,而且可以减轻船体或航天器的重量,对于快速航运或飞行具有重要意义,因此复合材料越来越多地被用于制造航空航海工具(如飞机的机翼)。
为全面衡量船体的状况,需要了解其不同部位的变形力矩、剪切压力、甲板所受的抨击力,普通船体大约需要100个传感器,因此波长复用能力极强的光纤光栅传 感器最适合于船体检测。光纤光栅传感系统可测量船体的弯曲应力,而且可测量海浪对湿甲板的抨击力。具有干涉探测性能的16路光纤光栅复用系统成功实现了带 宽为5kHz范围内、分辨率小于10ne/(Hz)1/2的动态应变测量。
另外,为了监测一架飞行器的应变、温度、振动,起落驾驶状态、超声波场和加速度情况,通常需要100多个传感器,故传感器的重量要尽量轻,尺寸尽量小,因 此最灵巧的光纤光栅传感器是最好的选择。另外,实际上飞机的复合材料中存在两个方向的应变,嵌人材料中的光纤光栅传感器是实现多点多轴向应变和温度测量的 理想智能元件。
3、在民用工程结构中的应用
民用工程的结构监测是光纤光栅传感器最活跃的领域。对于桥梁、矿井、隧道、大坝、建筑物等来说,通过测量上述结构的应变分布,可以预知结构局部的载荷及状 况,方便进行维护和状况监测。光纤光栅传感器可以贴在结构的表面或预先埋入结构中,对结构同时进行冲击检测、形状控制和振动阻尼检测等,还以监视结构的缺 陷情况。另外,多个光纤光栅传感器可以串接成一个传感网络,对结构进行准分布式检测,并通过计算机对传感信号进行远程控制。
光纤光栅传感器可以检测的建筑结构之一为桥梁。应用时,一组光纤光栅被粘于桥梁复合筋的表面,或在梁的表面开一个小凹槽,使光栅的裸纤芯部分嵌进凹槽中 (便于防护)。如果需要更加完善的保护,则最好是在建造桥时把光栅埋进复合筋。同时,为了修正温度效应引起的应变,可使用应力和温度分开的传感臂,并在每 一个梁上均安装这两个臂。
两个具有相同中心波长的光纤光栅代替法布里-珀*涉仪的反射镜,形成全光纤法布里-珀*涉仪(FFPI),利用低相干性使干涉的相位噪声最小化,这一 方法实现了高灵敏度的动态应变测量。用FFPI结合另外两个FBG,其中一个光栅用来测应变,另一个被保护起来(免受应力影响),以测量和修正温度效应, 同时实现了对三个量的测量:温度、静态应变、瞬时动态应变。这种方法兼有干涉仪的相干性和光纤布拉格光栅传感器的优点,在5me的测量范围内,实现了小于 1me的静态应变测量精度、0.1℃的温度灵敏度和小于1ne/(Hz)1/2的动态应变灵敏度。
4、在电力工业中的应用
光纤光栅传感器因不受电磁场干扰和可实现长距离低损耗传输,从而成为电力工业应用的理想选择。电线的载重量、变压器绕线的温度、大电流等都可利用光纤光栅传感器测量。
在电力工业中,电流转换器可把电流变化转化为电压变化,电压变化可使压电陶瓷(PZT)产生形变,而利用贴于PZT上的光纤光栅的波长漂移,很容易得知其 形变,进而测知电流强度。这是一种较为廉价的方法,并且不需要复杂的电隔离。另外,由大雪等对电线施加的过量的压力可能会引发危险事件,因此在线检测电线 压力非常重要,特别是对于那些不易检测到的山区电线。光纤光栅传感器可测电线的载重量,其原理为把载重量的变化转化为紧贴电线的金属板所受应力的变化,这 一应力变化即可被粘于金属板上的光纤光栅传感器探测到。这是利用光纤光栅传感器实现远距离恶劣环境下测量的实例,在这种情况下,相邻光栅的间距较大,故不 需快速调制和解调。
5、在医学中的应用
医学中用的传感器多为电子传感器,它对许多内科手术是不适用的,尤其是在高微波(辐射)频率、超声波场或激光辐射的过高热治疗中。由于电子传感器中的金属 导体很容易受电流、电压等电磁场的干扰而引起传感头或肿瘤周围的热效应,这样会导致错误读数。近年来,使用高频电流、微波辐射和激光进行热疗以代替外科手 术越来越受到医学界的关注,而且传感器的小尺寸在医学应用中是非常重要的,因为小的尺寸对人体组织的 伤害较小,而光纤光栅传感器正是目前为止能够做到的最小的传感器。它能够通过最小限度的侵害方式测量人体组织内部的温度、压力、声波场的精确局部信息。到 目前为止,光纤光栅传感系统已经成功地检测了病变组织的温度和超声波场,在30℃~60℃的范围内,获得了分辨率为0.1℃和精确度为±0.2℃的测量结 果,而超声场的测量分辨率为10-3atm/Hz1/2,这为研究病变组织提供了有用的信息。
光纤光栅传感器还可用来测量心脏的效率。在这种方法中,医生把嵌有光纤光栅的热稀释导管插入病人心脏的右心房,并注射人一种冷溶液,可测量肺动脉血液的温度,结合脉功率就可知道心脏的血液输出量,这对于心脏监测是非常重要的。
6、在化学传感中的应用
光纤光栅传感器可用于化学传感,因为光栅的中心波长随折射率的变化而变化,而光栅间倏失波的相互作用以及环境中的化学物质的浓度变化都会引起折射率的变化。
长周期光栅(long period fiber grating,LPFG)与布拉格光纤光栅一样,也是由光纤轴上产生周期性的折射率调制而形成,其周期一般大于100μm。它的耦合机理是:向前传输的 纤芯基模被耦合入几个特定波长的向前传输的包层模,包层模很快损失掉,所以LPFG基本上没有后向反射,在其透射谱中有几个特定波长的吸收峰。LPFG对 光纤包层材料折射率的变化比上述的光纤布拉格光栅更为敏感,包层材料折射率的任何变化都会改变传输光谱的特性,使吸收峰发生改变,所以长周期光栅折射率测 量系统的分辨率可实现10-7的灵敏度。目前已经用长周期光栅测出了许多化学物质的浓度,包括蔗糖、乙醇、己醇、十六烷、CaCl2、NaCl等,原则上,任何具有吸收峰谱并且其折射率在1.3和1.45之间的化学物质都可用长周期光栅进行探测。
四、结束语
除上述应用外,光纤光栅传感器还在其他领域得到了应用,并且许多方面的性能都比传统的机电类传感器更稳定、更可靠、更准确。光纤光栅传感器可以用于应力、应 变或温度等物理量的传感测量,具有较高的灵敏度和测量范围。在光纤若干个部位写入不同栅距的光纤光栅,就可以同时测定若干部位相应物理量及其变化,实现准 分布式光纤传感。总之,光纤光栅传感器的应用是一个方兴未艾的领域,有着非常广阔的发展前景。
目前对光纤光栅传感器的研究方向主要有三个方面:
1、对传感器本身及进行横向应变感测和高灵敏度、高分辨率、且能同时感测应变和温度变化的传感器研究;
2、对光栅反射信号或透射信号分析和测试系统的研究,目标是开发低成本、小型化、可靠且灵敏的探测技术;
3、对光纤光栅传感器的实际应用研究,包括封装技术、温度补偿技术、传感器网络技术。
目前限制光纤光栅传感器应用的最主要障碍是传感信号的解调,正在研究的解调方法很多,但能够实际应用的解调产品并不多,而且价格较高。其次,光纤光栅传感器应用中的其他问题也非常重要,如:
1、由于光源带宽有限,而应用中一般要求光栅的反射谱不能重叠,因此可复用光栅的数目受到限制;
2、如何实现在复合材料中同时测量多轴向的应变,以再现被测体的多轴向应变形貌;
3、如何实现大范围、高精度、快速实时测量;
4、如何正确地分辨光栅波长变化是由温度变化引起的还是由应力产生的应变引起的等。
有效地解决上述问题对于实现廉价、稳定、高分辨率、大测量范围、多光栅复用的传感系统具有重要意义。
①精度高。光栅式传感器在大量程测量长度或直线位移方面仅仅低于激光干涉传感器。在圆分度和角位移连续测量方面,光栅式传感器属于精度最高的。
②大量程测量兼有高分辨力。感应同步器和磁栅式传感器也具有大量程测量的特点,但分辨力和精度都不如光栅式传感器。
③可实现动态测量,易于实现测量及数据处理的自动化。
④具有较强的抗干扰能力,对环境条件的要求不像激光干涉传感器那样严格,但不如感应同步器和磁栅式传感器的适应性强,油污和灰尘会影响它的可靠性。主要适用于在实验室和环境较好的车间使用。
利用光栅的莫尔条纹现象进行测量的。光栅传感器一般由光源、标尺光栅、指示光栅和光电器件组成,光电器件接收到的信号经电路处理后可得到两光栅的相对位移。光栅式传感器有多种不同的光学系统,其中,比较常见的有透射式光栅传感器和反射式光栅传感器。
(一)透射式光栅传感器
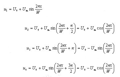
图7-30和图7-31分别为透射式长光栅和圆光栅传感器。这里采用的光源是发光二极管,有的发光二极管本身将透镜集成在一起,光线平行性比较好,不需要外加透镜。有的发光二极管本身没有集成透镜,需外加透镜改善光线的平行性。另外白炽灯也常用作光栅传感器的光源。标尺光栅和指示光栅形成莫尔条纹,这里采用的指示光栅是一种裂相光栅,一般由四部分组成,每一部分的刻线间距与对应的标尺光栅完全相同,但各个部分之间在空间上依次错开nW+W/4(n为整数,W为长光栅的栅距或者圆光栅的栅距角)的距离,指示光栅与标尺光栅刻线平行放置,它们之间形成光闸莫尔条纹(也可采用指示光栅与标尺光栅刻线间有很小的夹角,形成横向莫尔条纹),用光电器件分别接收裂相光栅四个部分的透射光,可以得到相位差依次为p /2的四路信号

式中 U0——电信号的直流电平,对应于莫尔条纹的平均光强;
Um——电信号的幅值,对应于莫尔条纹明暗的最大变化。
这四相电信号的后续处理过程是:首先将u1、u3和u2、u4分别两两相减,消除信号中的直流电平,得到两路相位差为90° 的信号,然后将它们送入专门的电子细分和辨向电路,可以实现对位移的测量。需要说明的是,相位差为90° 的两路信号是辨向电路所必需的,单独一路信号无法实现辨向。
(二)反射式光栅传感器
典型的反射式光栅传感器原理如图7-32所示。发光二极管经聚光透镜形成平行光,平行光以一定角度射向裂相指示光栅,莫尔条纹是由标尺光栅的反射光与指示光栅作用形成,光电器件接收莫尔条纹的光强。
这种光路的传感器一般用在数控机床上,主光栅常为金属光栅,它坚固耐用,而且线膨胀系数与机床基体的线膨胀系数接近,能减小温度误差。
