电子百科

方法
关于谐振式微波传感器的基本原理概述如下:一个介质填充谐振腔的谐振频率和品质因子和填充介质的介电常数之间的关系如式子(1),对一般的问题我们都采用Harrington提出的理论方法来求解。现在考虑一个真空的腔体,令其谐振频率和其中的电磁场分别为 ω0 E0 H0 , 相应地,假设现在腔体被填充了介电常数为ε=ε0+Δε的介质。
谐振频率的该变量如下式子所示:

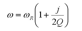
其中ω, E, H 是其谐振频率和对应的电磁场分布。复数形式的谐振频率由实数部分ωR 和包含品质因子Q 的虚部两部分组成。

其中的品质因子可以写成

在式子(3)中 W 是一段时间内谐振腔里存储的平均能量,Pd 是单位时间损耗的能量。
上面的式子表明,假如我们已知了待测材料的谐振频率ωR和品质因子Q 就可以求得待测材料的复介电常数。

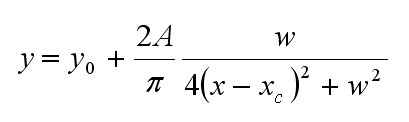
Fig. 1 - Example of the results of the fitting algorithm applied to the measured da
图1展示了一个谐振腔的典型测试曲线,图中给出了谐振频率f0和3dB 带宽 BW=1/Q 。
测试材料的复介电常数 ε=ε'-jε'' 包括以下几个步骤:
a. 测量介质填充谐振腔的s21参数。
b. 计算谐振频率和3dB带宽。
c. 根据公式(1)计算待测材料的复介电常数。
为了获得较高精度的谐振频率和3dB带宽,应该采用较窄的频率步长,这样会得到很多频率采样,这对于实时测量的速度是不利的。To circumvent this difficulty, the resonant response is fitted in a least square sense to the Lorentzian curve (4):
