0
问答首页 最新问题 热门问题 等待回答标签广场
我要提问

电源电路恒流源电路

镜像恒流源基本电路图

镜像恒流源基本电路图
提问者:Dockert 地点:- 浏览次数:5471 提问时间:06-16 05:04
我有更好的答案
提 交
1条回答
便便面天天菜 06-17 22:52

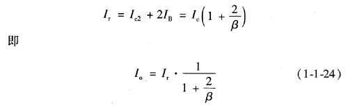
如图所示为镜像恒流源的基本电路,其中VT1,VT2是匹配对管。由图可知Ir=Ic2+IB1+IB2


由于VT1,VT2是对称的,它们的集电极电流与基极电流分别相等,所以有



当Ir确定后,该恒流源的输出电流Io也确定了。当β足够大时,Io≈Ir,即输出电流近似等于参考电流,所以该电路常称为电流镜电路。


镜像恒流源基本电路图.jpg

撰写答案
提 交
1 / 3
1 / 3
相关电源电路
无噪声的的功放电源电路
LG CF-25H84彩电开关电源电路
LG MC-8AA机心彩电开关电源电路
LG MC-022A机心彩电开关电源电路
LG MC-019A机心彩电开关电源电路
相关恒流源电路
自己组装全集成高保真恒流源功率放大器
集成稳压器构成的开关恒流源电路
采用恒流源完成电平位移电路图
由TL431组成的高精度的恒流源电路图
采用运算放大器和达林顿晶体管的恒流源