0
问答首页 最新问题 热门问题 等待回答标签广场
我要提问

电源电路电源

交流220V转直流600V开关电源电路图

交流220V转直流600V开关电源电路图
提问者:zzw0719 地点:- 浏览次数:3880 提问时间:12-14 22:46
我有更好的答案
提 交
1条回答
wei296 12-20 05:45

高电压升压电源电路:交流220V转直流600V开关电源电路


规格:


输入电压= 220Vac±10 % 50/60Hz


输出电压= 0~600Vdc 0.25A


开关频率: 70~100kHz的


设计指南:


DCM的模式下,输出功率为200瓦


输入有效值电流的劣化状况连续电流模式计算公式为:


5.jpg


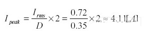
如果最佳操作占空比设定为D = 0.35 ,然后输入峰值电流


6.jpg


因此,电压检测电压等级限制从FAN7554数据是1.5V


交流220V转直流600V开关电源电路图.jpg

撰写答案
提 交
1 / 3
1 / 3
相关电源电路
无噪声的的功放电源电路
LG CF-25H84彩电开关电源电路
LG MC-8AA机心彩电开关电源电路
LG MC-022A机心彩电开关电源电路
LG MC-019A机心彩电开关电源电路
相关电源
TDA16846组成的彩电开关电源原理图
联想LX-PL4C2型彩色显示器开关电源电路
长虹CN-9机心彩电开关电源电路
索尼KV2184彩电开关电源电路
王牌TCL-3460D彩电开关电源电路